약산의 pH 구하기
1. 산의 세기
이온화도(해리도)는 절대적 강산과 약산을 구분하는 척도가 된다. 이온화도는 산(HA)의 해리 분율에 관한 것으로 0 ~ 1 사이 값을 갖는다. 이온화도가 크다(1에 가깝다)는 것은 산 대부분 해리되어 수소 이온(H+)과 짝염기 이온(A-)으로 따로 존재하려는 경향이 크다는 뜻이기도 하다.
수용액에서 거의 대부분 해리되어 이온 상태로 존재하는 산을 '강산(strong acid)'이라 하며, 대부분이 그대로 원래의 형태로 존재하고, 일부만 해리되는 산을 '약산(weak acid)'이라 한다.
HCl은 강산, CH3COOH는 약산으로 분류된다. 두 산의 해리 전후 상대적 개수에 대한 모형은 다음과 같다.

2. 산 이온화 상수
산의 이온화 상수, 또는 산 해리 상수라고 한다. 기호로는 Ka로 나타내며, 어떤 산의 이온화 평형 상태에서의 평형 상수이다.


강산은 1에 가까운 이온화도를 갖고, (평형이라고 말하기 어려울 정도로) 반응물(HA)이 존재하지 않기 때문에 평형 상수 식의 분모항에 '반응물의 농도가 거의 0에 가까워' 매우 큰 이온화 상수 값을 갖는다. 반면, 약산은 평형에서 매우 적은 양만 해리된 상태(생성물)로 존재하기 때문에 평형 상수 식 분자항의 생성물의 농도가 0에 가까워 이온화 상수 값이 매우 작다.
이와 같이 이온화 상수 크기를 통해서도 절대적 산의 세기를 구분할 수 있는데, 이온화도가 산의 초기 농도에 따라 달라질 수 있다는 점(오스트발트 희석률(280))을 생각한다면, 일정 온도에서 변하지 않는 이온화 상수가 산의 세기를 비교하는데 더욱 유용하다고 말할 수도 있겠다.

3. 강산의 pH 구하기
0.1 M의 HCl의 pH는 얼마일까?
pH는 용액 내 '수소 이온 농도 [H+]'를 나타내는 척도이다. 용액 내 수소 이온의 몰농도를 알고 있다면, 해당 값에 p함수(-log)만 간단히 취해주어 구할 수 있다.
그렇다면, 0.1 M HCl 수용액에는 얼마만큼의 H+ 이온이 존재하고, 수소 이온 농도는 얼마일까? 앞서 다룬 이온화도 개념을 여기에 적용해본다면, HCl은 강산으로 수용액에서의 이온화도가 1에 가깝기에 대부분 완전 해리되어 H+ 이온과 Cl- 이온 형태로 존재할 것이다. 강산 수용액에는 초기 HCl 양 만큼의 H+ 이온과 Cl- 이온이 존재할 것이며, 전체 부피 변화가 없는 한 각 이온의 농도 또한 0.1 M이라 할 수 있다.
[HCl]eq ≒ 0 , [H+]eq = 0.1 M , [Cl-]eq = 0.1 M
따라서 강산 0.1 M HCl 수용액의 pH는 - log[H+] = - log(0.1) = 1 이다.
[참고] 매우매우 묽은 강산 수용액의 pH 구하기(283)
4. 약산의 pH 구하기
HCl과 같은 강산은 초기 농도만 알면 수용액의 pH를 알 수 있다. (단, 매우매우매우 묽은 용액만 아니라면...)
그러나 CH3COOH와 같은 약산은 수용액에서 완전 해리되지 않기 때문에, 평형 상태에서 H+ 이온이 얼마나 존재할지에 대해 정확히 알 수 없으며, 추가적인 정보가 필요하다. 약산의 이온화 상수(Ka)가 필요하다. 다음 문제를 해결해보자.
0.1M의 CH3COOH의 pH는 얼마일까? (단, CH3COOH의 Ka = 1.75 × 10-5이다.)
1) 근사 없이 구하기
문제에서 산의 Ka값이 주어졌다는 것부터 CH3COOH는 약산임을 예상할 수 있다. 주어진 Ka 값을 보니 0에 가까운 작은 값이고, 약산이 분명해졌다. 수용액에서의 CH3COOH 해리 반응은 다음과 같다.

평형 상태에서의 CH3COOH의 농도는 (0.1 - x) M, 평형에서의 H3O+, CH3COO- 농도는 각각 x M 이므로, 이를 평형상수 식에 대입하면, x 에 관한 2차식을 얻을 수 있다. 근에 공식에 대입하여 x 를 구하면, [H3O+]의 농도인 x 값이 1.3 × 10-3임을 알 수 있다. (농도는 음의 값을 가질 수 없으므로...)



약산 CH3COOH의 pH는 - log[H+] = - log(1.31 × 10-3) = 2.88 이다.
2) 근사를 통해 간단하게 구하기
pH를 구할 때마다 근의 공식을 기억해가며, 복잡한 과정을 거쳐야 할까? 군대를 갔다오면 더더욱 기억도 안날텐데... 근의 공식 없이 더 간단하게 pH를 구할 수는 없을까? 현실적인 가정들을 바탕으로 계산 과정을 간단하게 만들어보자.
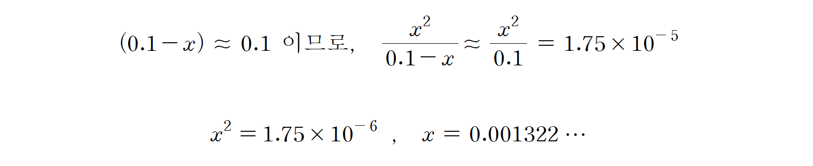
평형 상태에서의 CH3COOH의 농도는 (0.1 - x ) M이지만, 약산이 해리되는 정도는 매우매우 작기 때문에 해리 분자수 x 는 초기 농도 0.1 M에 비해 매우매우 작은 값일 것이다. 일반적으로 약산의 초기 농도가 Ka에 비해 약 10,000 배(104 배) 이상 크면, 근사가 가능하다.
따라서 (0.1 - x ) ≒ 0.1 M로 근사할 수 있으며, 이를 평형 상수 식에 대입하면, 이전보다 간단한 식을 얻을 수 있다. 여전히 x 에 대한 2차 식이지만, 계산이 훨씬 수월하다. x 2 = 0.1 × Ka이며, x = 1.32 × 10-3 M 이다.



따라서 pH는 - log[H+] = -log(1.32 × 10-3) ≒ 2.88 이다. pH는 근사 과정을 포함한 다음 공식을 통해 간단히 구할 수 있다. (단, 산의 초기 농도(c )가 Ka에 비해 104 배 이상 큰 경우에 한하여...)

5. 정리하기
산의 세기는 수용액에서의 이온화 정도에서 구분될 수 있다. 강산은 수용액에서 (거의) 완전 해리되어 수소 이온과 짝이온 형태로 존재하며, 산 수용액의 초기 농도에 해당하는 pH를 갖는다.
강산 수용액의 pH = - log (CHA)
반면, 약산은 수용액에서 일부만 해리되어 수소 이온을 부분적으로 생성하며, 수용액의 pH 계산을 위해서는 산 이온화 상수(Ka)가 필요하다. 약산의 이온화 상수가 초기 농도에 비해 충분히 작은 경우 약간의 근사 과정을 거쳐 pH를 간단히 계산할 수 있다.
약산 수용액의 pH = -log (CHA * Ka)1/2
약산의 pH 구하기 -끝-
* 끝까지 읽어주셔서 감사합니다.
[관련 글] 물의 산 해리 상수는 얼마일까? https://stachemi.tistory.com/209
물의 산해리상수는 얼마일까?
물의 산해리상수는 얼마일까? 물의 pKa 는 14.0 ? 15.7 ? 0. 들어가기 2015 개정 교육과정에서 물의 이온곱상수(Kw)가 화학1으로 내려왔다. '화학 평형' 대부분이 화학2에 그대로 머물러 있기 때문에 평
stachemi.tistory.com
'화학 > 화학이야기' 카테고리의 다른 글
| 원자가 껍질 전자쌍 반발 이론 (VSEPR Theory) (0) | 2022.11.16 |
|---|---|
| 오스트발트 희석률 (Ostwald dilution law) (1) | 2022.10.23 |
| 공명 구조와 관련된 대표적인 오개념들 (15) | 2022.10.08 |
| 화학사 이야기 - 루이스 구조식과 옥텟 규칙 (2) | 2022.09.29 |
| 플라스틱 종류별 적외선 스펙트럼 (9) | 2022.09.14 |