물의 산해리상수는 얼마일까?
물의 pKa 는 14.0 ? 15.7 ?
0. 들어가기
2015 개정 교육과정에서 물의 이온곱상수(Kw)가 화학1으로 내려왔다. '화학 평형' 대부분이 화학2에 그대로 머물러 있기 때문에 평형상수 개념없이 설명해야 한다. 마땅한 방법이 생각나지는 않는다. 그저 시간 날 때, 관련 내용을 블로그에 정리해놓고 수업 때 참고자료 정도로 안내해야겠다는 대략적인 생각만 갖고 있었는데, 우연히 재미난 글1 2 3을 접하게 되어 계획보다 일찍 관련 내용을 포스팅 하게 되었다. 물론, 고둥학교 화학2를 약간 넘어서는 내용이 일부 포함되어있어 화학1 수업 자료용이 되기는 어려울 듯 하다.
주로, 물의 이온곱상수(Kw)와 산해리상수(Ka)에 대한 것이다.
대다수의 일반화학 교재에서는 물의 pKa = 14.0 (at 25 ℃)라고 제시한다. 이온곱상수(pKw) 값과 같다. 반면, 전공 과목인 유기화학과 일부 생화학 교재에는 pKa = 15.7 이라고 제시하며, 이 값을 기준으로하여 알코올 구조에 따른 산의 세기 비교 내용이 실려있다. <그림 1>
분명, 산해리상수는 물의 자체 이온화 반응(또는 자체 양성자 이전 반응)에서 유도된 평형 상수인데, 책에 따라 다른 값으로 소개되는 것은 왜일까?


1. 물의 자체 양성자 이전 반응 (물의 자체 이온화 반응)
물은 양쪽성 물질로, 브뢴스테드-로우리 산 또는 염기로 모두 작용할 수 있다.
물(H2O) 분자 하나가 양성자(H+)를 다른 물 분자에게 내어놓으면, H3O+와 OH- 이온이 생성된다. 이런 반응을 자체 양성자 이전 반응(autoprotolysis)이라 한다. 같은 과정을 물 분자 하나에서 시작하여 단순 이온화를 나타낸 경우는 자체 이온화 반응(self ionization reaction)이라 한다. 보통은 굳이 두 반응을 구별하지 않으며, H3O+ 이온과 H+ 이온은 같게 취급된다.
[ 물의 자체 양성자 이전 반응 ]
H2O + H2O ⇌ H3O+ + OH-
[ 물의 자체 이온화 반응 ]
H2O ⇌ H+ + OH-
두 반응 모두 평형 반응이며, 온도에 따른 평형 상수를 갖는다. '용매'의 자체 이온화 반응 평형 상수는 생성 이온들의 곱 형태로 나타나기 때문에 이온곱 상수(ion-product constant)라 부른다.
25 ℃ 물의 이온곱 상수(Kw)는 1.0 x 10-14 이다. p함수(-logX)를 취해 pKw 형태로 나타내면, 14.0 이다. 물의 이온곱 상수는 실험적으로 측정되었지만, Ka를 구하는 열역학적(전기화학적) 계산법을 통해서도 똑같이 구할 수 있다.
Kw = [H3O+][OH-] = 1.0 x 10-14 , pKw = 14.0 (at 25 ℃)
2. 열역학적 방법을 통한 산해리상수 구하기
가. 열역학적 평형 상수
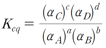
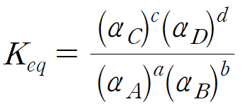
열역학적 평형 상수(K )는 화학 반응에 관여하는 물질의 활동도(activity, α)로 정의된다. 활동도는 용액 내 물질 간 상호작용을 반영한 값으로, 일종의 유효 농도(effective concentration)와 같다. 용액 내 다른 물질들과 활발하게 상호작용할수록 활동도 값은 1에서 크게 벗어난다.
a A + b B ⇌ c C + d D
질량 작용의 법칙(law of mass action)에 따라 평형 상수를 표현하면, 다음과 같다.

αAa에서 (αA) 화학종 A의 활동도를 뜻하며, 지수로 나타낸 a는 화학종 A의 계수이다.
이상적 묽은 용액(ideal diluted solution), 즉 용질의 양이 매우 적어 용액의 조성이 순수 용매에 가까운 경우, 용질은 헨리의 법칙을 따른다. 그리고 용질의 활동도는 용액의 몰랄농도(molality, mol/kg)로 근사할 수 있다. 또한 이상적 묽은 용액의 조성은 순수한 물에 가깝고, 25 ℃ 물의 밀도가 0.997 kg/L 이므로, 용액의 몰랄농도는 몰농도(molarity, mol/L)로 한 번 더 근사할 수 있다.
αA ≒ 몰랄농도 [mol/kg] ≒ 몰농도 [mol/L]
따라서 평형 상수의 용질 활동도는 몰농도 형태로 바꾸어 표현할 수 있다. 이 경우, 우리가 일반적으로 알고 있는 농도에 관한 평형 상수식이 나타난다.

이상적 묽은 용액의 용매의 경우 라울의 법칙(Raoult's Law)이 적용된다. 이 말인 즉슨, 용액 내 용매는 순수 용매 상태와 용액 상태를 구분하지 못한다는 뜻이며, 활동도를 1에 근사할 수 있다는 뜻이다.
α용매 ≒ 1
따라서 이 경우 용매는 평형 상수 식에 나타나지 않는다. 만약, 비이상 용액의 경우에는 활동도 상수(activity coefficients, γ) 등을 적용하여 분자 사이 상호작용 요인을 보정해주어 나타낸다.
나. 하이포염소산(HClO)의 산해리상수 Ka 구하기
하이포염소산의 해리 반응식을 작성해보자.
HClO (aq) + H2O (l ) ⇌ ClO- (aq) + H3O+ (aq)
평형상수는 다음과 같다. 이 반응의 평형상수는 산해리상수이다.

25 ℃ 에서의 표준 생성 깁스 자유에너지(ΔfG ˚) 값과 ΔrG ˚ = - RT ln K 식을 이용하면, 평형 상수(K )를 구할 수 있다.
* 표준 생성 깁스 자유에너지(Standard Gibbs free energy of formation, ΔfG ˚)
HClO (aq) 의 ΔfG ˚ = - 79.9 kJ ClO- (aq) 의 ΔfG ˚ = - 36.8 kJ H2O (l ) 의 ΔfG ˚ = - 237.1 kJ H3O+ (aq) 의 ΔfG ˚ = - 237.1 kJ

다. 물(H2O)의 산해리상수 Ka 구하기
같은 방법으로 물의 산해리상수를 계산해보자.
H2O (l ) + H2O (l ) ⇌ OH- (aq) + H3O+ (aq)
평형 상수는 다음과 같다.

25 ℃ 에서의 표준 생성 깁스 자유에너지(ΔfG ˚) 값과 ΔrG ˚ = - RT ln K 식을 이용하여, 평형 상수(K )를 구하면,
* 표준 생성 깁스 자유에너지(Standard Gibbs free energy of formation, ΔfG ˚)
H2O (l ) 의 ΔfG ˚ = - 237.1 kJ OH- (aq) 의 ΔfG ˚ = - 157.2 kJ H3O+ (aq) 의 ΔfG ˚ = - 237.1 kJ

3. 잘못된 유도를 통해 얻은 물의 산해리상수(Ka')
가. 잘못된 유도
전공 교과인 유기화학 교재에서는 다른 방법을 사용한다. 브뢴스테드-로우리의 짝산 짝염기 개념을 바탕으로 설명하기 위해 반응물을 용매 물분자(H2O(l ))와 용질 물분자(H2O(aq))로 구분할 수 있다고 가정한다. 이를 반응식으로 나타내면 다음과 같다.
H2O (aq) + H2O (l ) ⇌ OH- (aq) + H3O+ (aq)
용질 물분자는 용매 물 분자에게 양성자(H+)를 전달하고, 브뢴스테드 산으로 작용한다. 이러한 가정을 바탕으로 평형 상수를 나타내면 다음과 같다.

25 ℃, 물의 밀도 0.997 [g/mL]의 단위를 변환하면 단위 부피당 몰 수, 몰농도 [mol/L]를 알 수 있다. (사실, 순수한 물에 몰농도라는 개념을 쓴다는 것이 어색하긴 하다.)

물의 몰농도 55.33 [mol/L]과 이온곱상수 Kw = [H3O+][OH-] = 1.0 x 10-14 를 대입하여 얻은 산해리상수는 다음과 같다.


나. 어디가 문제일까?
위의 유도 과정은 물을 용매와 용질로 구분함을 가정한다. 계산 과정에서 용매로 다뤄지는 물(H2O(l ))은 순수한 액체로 취급되며, 활동도를 1로 근사한다. 이 때문에 평형 상수식에 나타나지 않는다.
그리고 용질로 다뤄지는 물(H2O(aq))의 몰농도는 해당 온도에서의 밀도를 변환하여 구하지만, 이것은 용매+용질 전체에 해당하는 것이다. 따라서, 계산 결과로 얻어진 55.33 M의 농도는 용매로 고려된 H2O(l )과 용질로 고려된 H2O(aq)의 합에 해당하는 값이다.
[H2O (l )] + [H2O (aq)] = 55.33 M
또한 용질 물 분자의 활동도(유효 농도)를 55.33 으로 취급함과 동시에, 용매 물 분자의 활동도를 1로 차이를 두어 취급한다는 것은 용질 물 분자가 용매 물 분자에 비해 55.33 배 더 활발하게 반응할 수 있음을 뜻한다.
4. 결론
아직까지 많은 유기화학과 생화학 교재에서 물의 pKa = 15.7 의 잘못된 값을 사용하고 있지만, 이 값은 결코 열역학적 데이터를 통해 정의될 수 없으며, 동시에 실험적 데이터도 이를 뒷받침해주지 못한다. 해당 값은 산의 세기가 주위 용매에 영향을 받지 않는다는 잘못된 가정에 기반한 값이며, 이를 사용해야할 근거가 없다.
25 ℃ 물의 산해리상수 (Ka)는 1 x 10-14 이며, pKa = 14.0 이다.
5. 참고 문헌
[1] Tom Neils, Stephanie Schaetel, What is the pKa of water?, libretexts.org [링크]
[2] Meister, E.C.; Willeke, M.; Angst, W.; Togni, A.; Walde, P. Helv. Chim. Acta 2014, 97, 1. [링크]
[3] Silverstein, T.P.; Heller, S.T. J. Chem. Educ., 2017, 94 (6), pp 690–695. [링크]
- Tom Neils, Stephanie Schaertel (2020). What is the pKa of water? LibreTexts [본문으로]
- Meister, E. C., Willeke, M., Angst, W., Togni, A., & Walde, P. (2014). Confusing Quantitative Descriptions of Brønsted-Lowry Acid-Base Equilibria in Chemistry Textbooks–A Critical Review and Clarifications for Chemical Educators. Helvetica Chimica Acta, 97(1), 1-31. [본문으로]
- Silverstein, T. P., & Heller, S. T. (2017). p K a Values in the Undergraduate Curriculum: What Is the Real pKa of Water?. Journal of Chemical Education, 94(6), 690-695. [본문으로]
'화학 > 화학이야기' 카테고리의 다른 글
| 여러 가지 단위 환산 (2) | 2021.01.29 |
|---|---|
| 단위 환산이 어려운 학생들에게 (7) | 2021.01.24 |
| 공기의 밀도 구하기 (6) | 2021.01.06 |
| [스크랩] 카페인의 흡수스펙트럼 (UV Spectrum of Caffeine) (0) | 2020.12.21 |
| 원자 모형의 변천 (3) 보어의 원자 모형 (4) | 2020.12.18 |