수소꼴 원자의 슈뢰딩거 방정식 풀이 (1)
양자물리학의 가장 큰 성공은 수학적으로 원자의 구조를 완전히 설명할 수 있다는 것이다. 하지만 모든 원자를 수학적으로 완전히 풀어낼 수 있는 것은 아니다. 오직 수소꼴(Hydrogen-like) 원자만이 가능하다. 전자가 두 개 이상인 경우에는 핵과 기존 전자 사이의 상호작용 외에 다른 전자의 영향까지 고려해야하기 때문에 완전히 풀어내기 쉽지 않다.
수소(1H), 중수소(2D), 삼중수소(3T), 헬륨 양이온(He+), 리튬 2가 양이온(Li2+)은 모두 원자핵과 전자 하나로 이루어져 있으며, 수학적으로 구조를 설명할 수 있다. 이를 수소꼴 원자 또는 이온이라 한다.
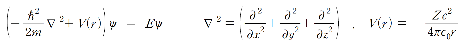
이처럼 하나의 전자가 원자핵 주위를 돌고 있는 수소꼴 원자의 슈뢰딩거 방정식은 다음과 같다.

이 식에서 r 은 원자핵과 전자 사이의 거리를 나타내고, m은 전자의 질량을 나타낸다.
슈뢰딩거 방정식 좌변 괄호 안의 항을 살펴보면, 첫번째 항에는 라플라스 연산자(Laplace operator, ▽2)가 포함되어 x, y, z 직교좌표계(cartesian coordinate)로 나타낸 반면, 두 번째 퍼텐셜 에너지 항(V(r))은 r, θ, φ의 구면극좌표계(sphere polar coordinate)로 표현되었다.
수소꼴 원자의 슈뢰딩거 방정식의 퍼텐셜 에너지는 핵과 전자 사이의 거리인 r 로 나타나기 때문에 구면 극 좌표계(r, θ, φ)에서 이를 다루는 것이 여러모로 편리하다.
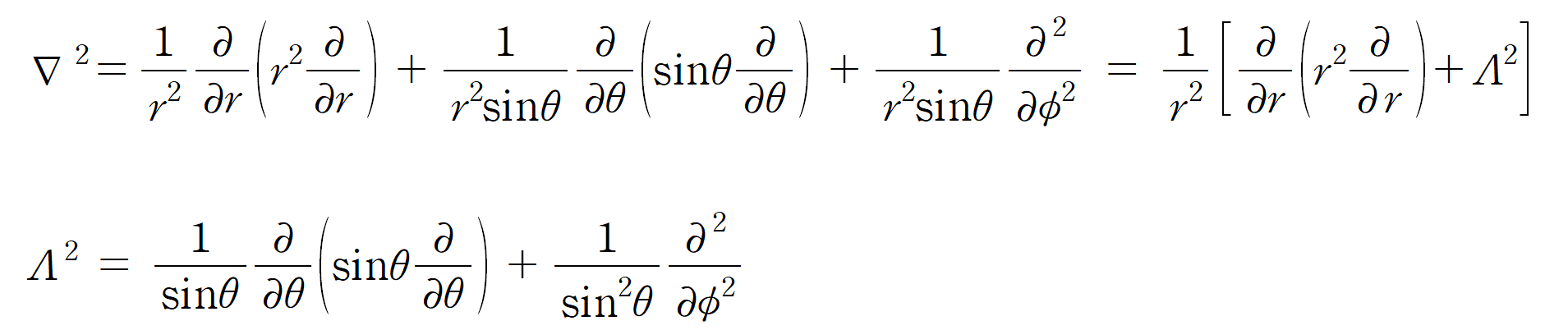
[참고] 직교 좌표계(x, y, z)의 식을 구면 좌표계(r, θ, φ)로 변환하는 과정은 링크1를 통해 확인 가능하다.
슈뢰딩거 파동 방정식의 라플라스 연산자(∇2)는 다음과 같이 변환될 수 있다.

이 식을 이용하여 슈뢰딩거 방정식을 다시 쓰면 다음과 같은 식이 된다.

직교좌표계의 변수인 x, y, z 가 모두 구면 극 좌표계의 r, θ, φ 로 변환되었으며, 파동함수 ψ 는 거리에 대한 변수 r 과 각도에 대한 변수 θ, φ 로 표현되었다.
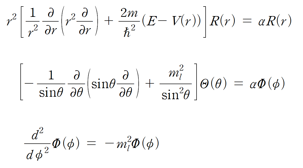
이 식을 아래와 같이 정리하여 변수분리하면, r 만을 변수로 포함하고 있는 r -방정식, θ 만을 변수로 포함하고 있는 θ - 방정식, φ 만을 변수로 포함하고 있는 φ-방정식으로 각각 나타낼 수 있다. 이 방정식들의 해가 되는 식이 각각 R (r ), Θ (θ ), Φ (φ )이다.

이 세 방정식의 해가 되는 식을 구하여 곱하면, 수소꼴 원자에서 전자의 파동함수인 ψ 가 된다.
r -방정식의 해인 R를 방사형 파동함수라고 하며, θ - 방정식의 해인 Θ 와 φ-방정식의 해인 Φ 를 곱한 것을 각 파동함수 Y 라 한다.
각각의 방정식을 풀어 얻어내는 해에 대해서는 다음 글(74)에서 알아보고자 한다.
[ 위 내용은 '양자역학으로 이해하는 원자의 세계'(곽영직 지음)를 읽고, 참고하여 정리한 것입니다. ]
- David, Carl W., "The Laplacian in Spherical Polar Coordinates" (2007). Chemistry Education Materials. 34. [본문으로]
'화학 > 화학이야기' 카테고리의 다른 글
| 반 데르 발스 기체식과 임계상수 (23) | 2020.04.12 |
|---|---|
| 수소꼴 원자의 슈뢰딩거 방정식 풀이 (2) (3) | 2019.12.23 |
| 배위 화학 (Coordination Chemistry) - 결합 (2) (20) | 2019.11.22 |
| 배위 화학 (Coordination Chemistry) - 결합 (1) (0) | 2019.11.06 |
| 배위 화학 (Coordination Chemistry) - 서론 (2) | 2019.07.09 |