[알림]
* 원자가 결합 이론(VBT)과 분자 궤도함수 이론(MOT)의 차이에 대한 일반화학 수준의 글입니다. Schrodinger 파동 방정식을 분자에 어떻게 적용했는지에 주목하여 작성한 글이며, 구체적인 분자의 파동 방정식 풀이, LCAO 분자 궤도함수, 이원자 분자의 MO 도표 등에 관한 내용은 포함되어있지 않습니다.
* 이전 글 : 원자가 결합 이론(169)
원자가 결합 이론 (Valence Bond Theory, VBT)
원자가 결합 이론 (Valence Bond Theory, VBT) "하이틀러-런던의 접근법을 바탕으로 설명하는 원자가 결합 이론" 1. 역사 미국의 화학자 길버트 루이스(Gilbert N. Lewis, 1875-1946)는 1916 년, 《The Atom and T..
stachemi.tistory.com
분자 궤도함수 이론 (Molecular Orbital Theory, VBT)
"원자가 결합 이론이랑 무슨 차이?"
1. 양자역학을 분자에 적용하다.
Schrodinger의 파동 방정식(HΨ = EΨ )은 양자역학적으로 원자의 구조를 이해할 수 있게 해 준다. 물론, 1-전자계인 수소 꼴 원자에만 적용되는 한계가 있지만 몇 가지 가정과 근사를 거치면 다전자 원자도 설명 가능하다.
만약, 파동 방정식을 통해 분자의 구조를 완벽히 풀어낼 수 있다면, 복잡한 물질에 대한 궁금증도 손쉽게 해소할 수 있을 것이다. 그러나 분자는 기본적으로 원자보다 복잡해서 파동 방정식에 단순 적용할 수 없다. 따라서 어떤 방식으로 분자에 파동 방정식을 적용할지 먼저 고민하는 것이 자연스러운 일이다.
분자에 파동 방정식을 적용하는 방법은 크게 둘로 나뉜다. 하나는 길버트 루이스(Gilbet. N. Lewis, 1875-1946)의 생각으로부터 시작된 원자가 결합 이론(Valence Bond Theory)이며, 다른 하나는 프리드리히 훈트(Friedrich Hund, 1896-1997), 로버트 멀리컨(Robert S. Mulliken, 1896-1986) 등이 발전시킨 분자 궤도함수 이론(Molecular Orbital Theory)이다. 둘은 비슷하면서도 다르다.
원자가 결합 이론(VB Theory)은 파동 방정식을 통해 완전히 풀 수 있는 1-전자계 원자의 파동함수(AO)를 조합하여 분자의 결합을 설명한다.
반면, 분자 궤도함수 이론(MO Theory)은 1-전자 분자(이온)에 파동 방정식을 적용하여 '분자의 파동함수(MO)'를 독립적으로 구한다. 그리고 나머지 전자를 채워 넣어, 분자를 완성한다. 마치 1-전자 원자의 파동함수를 구하고, 다전자 원자로 확장하 듯 말이다.
[참고] Shrodinger의 파동 방정식을 통해 완벽하게 풀어낸 1-전자계의 파동함수를 궤도함수, 또는 오비탈(orbital)이라 부른다. 원자 오비탈(AO)이 1-전자 원자의 완벽한 파동함수를 말하듯, 1-전자 분자의 완벽한 파동함수를 분자 궤도함수 또는 분자 오비탈(MO)이라 한다.
결국, 두 이론의 차이는 원자 오비탈의 정체성이 분자가 된 뒤에도 유지되느냐 그렇지 않느냐에 있다. 예를 들어, VB 이론은 두 수소 원자 오비탈의 합(H + H)으로 H2 분자를 설명한다면, MO 이론은 H2 분자를 먼저 1-전자 분자 이온 H2+ 형태로 만들고, 이를 파동 방정식에 적용해 별도의 분자 오비탈을 구한다. 그리고, 나머지 전자를 하나씩 채워준다.

두 이론 모두 분자에 양자역학을 적용한 이론일 뿐, 완전하지 않다. 또한 각 이론이 갖는 장단점이 명확하기에 어느 하나의 이론이 다른 것을 대체하지 못하고, 상황과 설명하려는 영역에 따라 각각 유용하게 활용되고 있다.
-
2. 분자 궤도함수 이론
가장 간단한 분자는 H2 이다. 2 개의 수소 원자만으로 만들어진 분자다. 이런 수소 분자도 핵 2 개와 전자 2 개, 총 4 개의 입자를 갖는다. 이전 VB 이론에 관한 글(169)에서도 언급했지만, 전자가 2 개 이상인 경우에는 Schrodinger 파동 방정식을 통해 분자의 파동 함수를 구할 수 없다. 따라서 MO 이론은 1-전자 분자 이온을 설정하는 것에서부터 시작한다.
수소 분자 이온(hydrogen molecule ion, H2+)은 핵 2 개와 전자를 1 개만 갖는다. 전자에 비해 상대적으로 매우 무거운 핵은 위치가 고정되었다고 근사(Born-Oppenheimer Approximation)하면, 3 개 입자가 관여함에도 상황을 비교적 단순하게 만들 수 있다.
2.1. H2+ 이온의 양자 역학적 접근

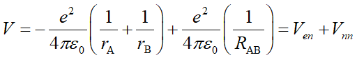
H2+ 이온의 퍼텐셜 에너지(V )를 표현하기 위해서는 입자들의 위치를 좌표로 설정할 필요가 있다. 편의상 H2+ 이온의 두 핵 A와 B가 <그림 2>와 같이 원점과 z 축 위의 + RAB 지점에 놓였다고 하자. 전자 위치(좌표)는 핵 A와의 거리(rA), 핵 B와의 거리(rA), 핵과 이루는 각도 φ 를 통해 표현할 수 있다. ( 0 ≤ φ ≤ 2π)
전자의 위치 정보 = (rA, rB, φ )
이 계의 내부 퍼텐셜 에너지는 다음과 같이 나타낼 수 있다.

앞의 두 항은 핵 A, B와 전자 간 끌림에 의한 안정화(Ven)이며, 마지막 항은 핵 간 반발에 의한 불안정화(Vnn)이다. 전자의 위치 rA와 rB가 결정되면, 모든 각도 φ 에 대해 동일한 퍼텐셜 에너지 값을 갖기 때문에 각도 φ 는 퍼텐셜에 영향을 주지 않는다.
수소 분자 이온에 대한 슈뢰딩거 파동 방정식은 정확하게 풀리지만, 해(파동 함수)가 너무 복잡하다. 어쨌든 풀어내면, 분자에 대한 에너지 정보를 얻을 수 있다.(HΨ = EΨ )
다음 <그림 3>은 수소 분자 이온 8 개의 파동 함수(오비탈)를 나타낸 것이다. 수소 원자 오비탈을 에너지 크기에 따라 1s, 2s, 2p, 3s, 3p 로 나열한 것과 같은 맥락이다. 가장 낮은 에너지의 왼쪽 아래 1σg 부터 3σg 쪽(↑↘↑↘↑↘↑)으로 갈수록 에너지는 높아진다.

-
2.2. 분자 궤도함수의 표현
우리는 원자의 오비탈(AO)을 나타낼 때, 오비탈 표시법에 따라 1s, 2s, 2p, 3s, 3p 등으로 구분하여 나타냈다. 오비탈의 종류를 구분하기 위해 s, p, d 등의 기호를 사용했으며, 앞에 쓰인 숫자 1, 2, 3 등을 통해 오비탈의 크기와 에너지에 대해 알 수 있었다.
분자의 오비탈(MO)는 어떻게 표현할까? 당연한 말이겠지만, 구분을 위해서라도 원자 오비탈의 기호 s, p, d 를 그대로 쓸 수는 없다. 이에 표현 방법에는 차이가 있지만, 원자 오비탈의 표시법과 크게 다르지는 않다.

1) 맨 앞에 쓰인 숫자(정수, integer)는 오비탈의 상대적인 에너지(realative energies)를 나타내는 지표다. 1σg는 σg 오비탈 중 첫 번째(가장 낮은 에너지)를 의미하고, 3σu*는 σu* 중에 세 번째로 안정한 오비탈을 가리킨다. 마치 원자 오비탈의 주 양자수와 비슷하다. 값이 커질수록 핵 사이에 나타나는 마디의 수가 증가한다.
2) 그리스 문자(Greek letter)는 핵 사이 전자 분포의 모양에 따른 지표다. 문자 σ는 두 핵을 연결한 축 주위로 원통형 대칭을 갖는 전자 분포를 나타내며, 문자 π는 두 핵을 연결한 축을 포함한 마디 면(nodal plane)을 갖는 전자 분포를 뜻한다.
3) 아래 첨자 g 와 u는 반전 중심(inversion center)에 대한 대칭성을 나타내는 지표다. 반전 중심은 분자의 중심이 되는 한 점으로, 이 지점을 직교 좌표계 원점(0, 0, 0)에 두자. 이후 (x, y, z) 좌표와 원점 대칭인 (-x, -y, -z) 좌표의 파동함수 배향을 비교하여 부호가 일치하면, 대칭적이라고 부르고 독일어의 '짝(gerade)'에 해당하는 기호 g로 표기 한다. 만약, 파동함수의 배향이 반대면, 반대칭적이라 하고, 독일어의 '홀(ungerade)'에 해당하는 기호 u로 표기한다.

4) 마지막으로 위첨자로 나타낸 별표 *(asterisk)는 두 핵을 연결한 축을 양분하는 거울면에 대한 대칭성을 나타내는 지표다. 쉽게 파동함수가 거울면에 대해 대칭인지를 나타낸다. 거울면 대칭을 결합성 궤도함수(bonding MO)라 부르고, 거울면에 대해 반대칭인 경우를 반결합성 궤도함수(anti-bonding MO)라 부르며, 위첨자 별표(*)로 구분한다. 참고로 <그림 6>을 통해 반결합성 궤도함수들은 거울면이 자리한 위치에 전자 밀도가 0인 마디면(nodal plane)이 존재함을 알 수 있다.

-
2.3. 분자 궤도함수를 통해 살펴본 화학 결합
앞서 우리는 <그림 2>의 좌표 설정에 따라 두 핵 사이의 거리를 RAB에 고정하여 H2+ 분자의 퍼텐셜 에너지를 단순화하여 Schrodinger 파동 방정식을 풀어낼 수 있었다.
이제 고정했던 RAB의 거리를 조금씩 바꾸어가며 H2+ 분자의 파동 방정식을 풀어보자. 핵 사이의 거리 값이 바뀜에 따라 파동 방정식을 통해 얻어지는 에너지 정보에도 변화가 생긴다.
예를 들어 핵 사이의 거리(RAB)를 1a01, 2a0, 3a0, 4a0, 5a0로 설정하여 분자의 파동 방정식을 다섯 번 풀자. 파동 방정식이 해(파동 함수)를 갖기 위한 조건(양자수 조합)에 따라 위의 <그림 3>처럼 여러 개의 해(파동함수)가 나오겠지만, 가장 안정한 에너지 값을 갖는 1σg 오비탈만 먼저 고려하도록 하자.
핵 사이의 거리를 달리하여 파동 방정식을 풀어내면, 설정한 거리 5 개에 대응하는 에너지 값 5 개를 얻을 수 있다. 조금 더 촘촘하게 거리를 10 개, 20 개, 30 개로 설정하여, 얻어낸 결과를 거리(r )에 따른 퍼텐셜 에너지(V ) 그래프로 나타내 주면, 아래의 <그림 7>과 같은 연속적인 1σg 그래프(─, 붉은색)를 얻을 수 있다.
양자수 조합을 바꾸어 1σu* 오비탈에도 같은 과정을 수행하면, <그림 7>의 1σu* 그래프(─, 푸른색)를 얻을 수 있다.

1σg 그래프와 1σu* 그래프는 대조적이다. 특히 1σg 분자 오비탈의 전자는 수소와 수소 이온이 각각 존재하여 상호작용하지 않을 때보다 에너지가 안정해지고, 유효 퍼텐셜 곡선 형태를 나타냄을 알 수 있다.
반면, 1σu* 분자 오비탈의 전자는 수소와 수소 이온이 각각 존재할 때보다 에너지가 높아지고, 두 핵을 밀어내는 상호작용에만 집중되어 있다.
즉, 1σg 분자 오비탈이 결합 형성에 관여하는 결합성 오비탈(bonding MO)인 것에 반해 1σu* 분자 오비탈은 결합 형성을 방해하는 반결합성 오비탈(anti-bonding MO*)임을 말해준다.
이것은 각 오비탈의 전자 밀도 분포를 통해서도 확인할 수 있다. <그림 8>의 1σg 오비탈이 핵 사이 전자 밀도가 높아진 것에 반해, 1σu*는 핵 사이에 마디(node)를 갖고, 오히려 전자 밀도가 H와 H+로 따로 존재할 때보다 낮아진다.


[참고] 관련 교재 및 단원
- Oxtoby, Principle of Modern Chemistry 7th, Chapter 6. Chemical Bonding and Molecular Structure
* 다음 글 : LCAO 분자오비탈(196)
LCAO 분자 오비탈 (LCAO Molecular Orbital)
* 연관된 글 : stachemi.tistory.com/192 분자 궤도함수 이론 (Molecular Orbital Theory, MOT) [알림] * 원자가 결합 이론(VBT)과 분자 궤도함수 이론(MOT)의 차이에 대한 일반화학 수준의 글입니다. Schrodinger..
stachemi.tistory.com
* 긴 글 읽어주셔서 감사합니다. 내용 중 오타나 문맥상 오류 등이 있는 경우 댓글로 알려주시면, 최대한 빠른 시일 내에 수정/답변드리도록 하겠습니다.
* 읽어보면 좋을 자료 : Robert S. Mulliken, 1966 노벨상 강연 [website link] [pdf]
- a0 = 보어 반지름 [본문으로]
'화학 > 화학이야기' 카테고리의 다른 글
| LCAO 분자 오비탈 (LCAO Molecular Orbital) (0) | 2020.12.05 |
|---|---|
| [스크랩] 용해도 규칙 (Solubility Rule) (0) | 2020.12.01 |
| 반트 호프 식 (van't Hoff equation) - 묽은 용액의 삼투압 (2) | 2020.11.24 |
| 삼투와 삼투압, 그리고 농도 평형 (22) | 2020.11.22 |
| 두 종류의 반응물로 이루어진 2차 반응 (3) | 2020.11.09 |