두 종류의 반응물로 이루어진 2차 반응
A + B → P 반응의 적분 속도식
두 종류의 반응물 A와 B가 생성물 P를 만들어내는 화학반응식은 다음과 같다.

이 반응이 A와 B에 대해 각각 1차 반응이라면, 전체 반응 차수는 2차가 된다. 이런 반응은 우리가 일반적으로 다루는 A → P 의 2차 반응보다는 다소 복잡하다. 그래서 보통은 혼합된 2차 반응, 복잡한 2차 반응이라고 불린다.
하지만, 실제로 두 종류의 반응물이 관여하는 반응은 수없이 많고, 흔하게 일어난다. 따라서 이러한 반응식을 접할 일은 매우 잦다. 이 반응에 대한 속도식을 나타내면 다음과 같다.(1)

위 반응의 속도는 반응물 A와 B의 농도에 각각 의존한다. 시간이 지남에 따라 A와 B의 농도는 함께 감소하는데 초기 농도에 따라 제각각 다른 농도 값을 가질 수 있다. 따라서 화학종의 농도 표현을 사전에 정리해줄 필요가 있다. 그렇지 않으면 일반식을 이끌어나가는 과정이 점점 복잡해질 것이다.
A와 B의 초기 농도는 [A]0 , [B]0 라 하자. 반응이 진행되고, 시간이 얼마 흐른 뒤의 농도를 [A], [B]로 나타내자. 만약, 특정 시점 t 에서의 농도를 나타내고자 한다면 [A]t , [B]t 의 형태로 나타내면 되겠다.
반응이 진행되면, A와 B의 농도는 점차 감소한다. 다행이도 A와 B의 화학반응식 계수가 1로 같으므로, 초기 농도에 상관없이 두 화학종의 농도 감소량(변화량)은 같다.


초기 농도 [A]0, [B]0 는 반응 진행 정도와는 무관하다. 관찰자가 초기에 결정하는 것으로 이미 알고 있는 고정된 값이다. 식을 보다 간결하게 만들기 위해 다음과 같이 정리하자. 초기 화학종 간의 농도 차이를 [X]0 로 정했다.

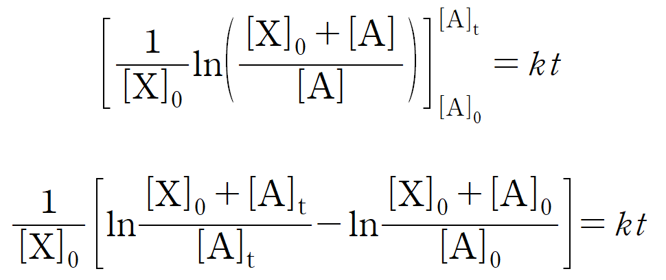
이것을 위의 속도식(1)에 대입하면 다음과 같다.

이항하여 정리하자.

이 식을 적분하기 위해서는 다음의 적분 공식이 필요하다.

시간 0 ~ t 에 대해 적분하면,

위의 농도 정의에 따라 식은 다음 관계가 성립한다.

대입하여 정리하면,

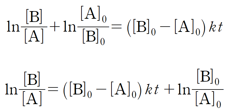
일반화된 속도 법칙(적분속도식)은 다음과 같다.

이 식을 x축을 시간, y 축을 ln([B]/[A])에 대해 도시하면, 기울기는 k([B]0 - [A]0), y 절편은 ln([B]0/[A]0) 인 선형의 그래프를 얻을 수 있다.

* 추가 2020-11-13
반응 유형에 따른 적분 속도법칙 표 [출처] Peter Atkins, Physical Chemistry 10th, Table 20B-3

* 참고한 책 : James E. House, Principles of Chemical Kinetics, 2nd Edition
* 끝까지 읽어주셔서 감사합니다. 내용 중 오타나 문맥상 오류 등이 있는 경우 댓글로 알려주시면, 최대한 빠른 시일 내에 수정/답변드리도록 하겠습니다.
* 다른 글 : 화학반응속도론 - 개론 stachemi.tistory.com/185
화학 반응의 속도
화학 반응의 속도 - 반응식의 화살표에 관심을 갖다 - 1. 반응 속도와 반응 경로 1.1. 화학 반응의 빠르기 속도란, 빠르고 느린 정도를 나타내는 물리량이다. 역학에서 속도는 단위 시간 동안 물체
stachemi.tistory.com
'화학 > 화학이야기' 카테고리의 다른 글
| 반트 호프 식 (van't Hoff equation) - 묽은 용액의 삼투압 (2) | 2020.11.24 |
|---|---|
| 삼투와 삼투압, 그리고 농도 평형 (22) | 2020.11.22 |
| 화학 반응의 속도 (6) | 2020.11.07 |
| [화학 실험] 파라오의 뱀 (Pharaoh's Serpent) (0) | 2020.11.05 |
| 원자가 결합 이론 (Valence Bond Theory, VBT) (10) | 2020.10.27 |