원자가 결합 이론 (Valence Bond Theory, VBT)
"하이틀러-런던의 접근법을 바탕으로 설명하는 원자가 결합 이론"
1. 역사
미국의 화학자 길버트 루이스(Gilbert N. Lewis, 1875-1946)는 1916년, 《The Atom and The Molecule》을 통해 결합 이론을 발표했다. 각 원자의 바깥 껍질에 존재하는 홀전자들이 서로 쌍을 이루며 결합한다는 내용이었으며, 전자쌍 결합을 설명하기 위해 점 구조식(electron-dot structure)을 제안했다. 이것이 원자가 결합 이론(Valence Bond Theory, VBT)의 시작이다.

루이스의 이론은 어빙 랭뮤어(Irving Langmuir, 1881-1957)에 의해 옥텟 규칙으로 발전했다. 또한, 1927년, 독일의 발터 하이틀러(Walter Heitler, 1904-1981)와 프리츠 런던(Fritz London, 1900-1954)은 가장 간단한 분자 H2에 대한 최초의 양자역학적 접근을 시도했다. 이들은 하이틀러-런던 이론(Heitler-London Theory)을 발표하고, 두 수소 원자의 파동 함수를 바탕으로 분자 형성 과정을 설명했다.

이들의 방법은 원자가 결합법이라는 이름으로 알려졌으며, 1930년대에 이르러 미국의 라이너스 폴링(Linus Pauling, 1901-1994)과 존 슬래이터(John C. Slater, 1900-1976)와 같은 과학자들에 의해 빠르게 발전했다.
특히 1931년, 폴링이 《The Nature of the Chemical Bond》를 통해 발표한 혼성 오비탈(orbital hybridization)과 공명(resonance) 개념은 하이틀러-론돈 이론을 보완함과 동시에 원자가 결합 이론을 확장시켰다.
즉, 원자가 결합 이론(VB Theory)은 루이스에 의해 시작되어 폴링에 의해 완성되었다고 할 수 있다.
2. 원자가 결합 이론 (VB Theory)
2.1. 개요
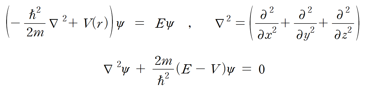
원자를 설명하는데 효과적인 수학적 도구는 슈뢰딩거 파동 방정식(wave equation, Hψ = Eψ )이다. 원자는 파동 방정식을 만족하는 해인, 원자의 파동 함수(wave function, ψ )를 갖는다.
물론, 슈뢰딩거 파동 방정식은 1-전자계에서만 정확하게 풀어낼 수 있기에 전자가 둘 이상인 '다전자 원자'에는 그대로 적용할 수 없다. 전자가 하나만 늘어나도 상호작용이 다양해지기 때문이다.
이에, 다전자 원자를 이해하기 위해 몇몇 가정과 근사(approximation)를 활용해야 한다. 핵이 전자에 비해 매우 무겁기 때문에 운동하지 않는다고 가정하고, 원자에 다른 전자가 추가되거나 전자가 제거되어도 기존 에너지 준위에는 변화가 없다고 근사한다.
그런데, 분자는 앞선 다전자 원자보다 더 복잡하다. 가장 간단한 수소 분자 H2만 해도 핵 2개, 전자 2개를 갖는다. 이에 '분자'의 파동 방정식을 풀어서 '분자'의 파동함수(Ψ )를 구한다는 것은 불가능한 일이다. '어떤 관점에서 접근할 수 있을 것인가?'에 관한 고민이 있을 뿐이다.
분자의 파동함수는 접근하는 방식에 따라 크게 둘로 구분된다.
바로, 원자가 결합 이론(VB Theory, 이하 VB 이론)과 분자 궤도함수 이론(MO Theory, 이하 MO 이론)이다. 둘 모두 분자의 파동함수(Ψ )를 설명하기 위한 이론이며, 양자역학적 접근을 한다는 공통점이 있다. 궁극적으로 분자의 파동 방정식을 만족하는 파동함수(Ψ )를 찾고자 한다.
VB 이론의 핵심은 전자의 '편재화'를 전제로 한다는 것이다. 편재화(localization)란, 전자가 어느 특정 공간에 머물러 존재함을 의미한다. 이것이 MO 이론과 구별되는 가장 큰 차이다.
VB 이론에서 결합에 관여하는 전자들은 '핵과 핵 사이'에 머무름을 가정한다. VB 이론이 루이스로부터 시작되었다는 점을 생각해 보면, 그 의미를 찾을 수 있다. 루이스 구조식에서 원자의 최외각 전자는 점으로 표현한다. 그리고 결합을 이루는 전자쌍은 직선을 그어, 점을 대신한다. 이는 결합 전자쌍이 존재할 수 있는 영역을 핵과 핵 사이로 제한(편재화)시키는 행위이다.
2.2. 하이틀러-런던 이론 (Heitler-London Theory)
하이틀러와 런던이 수소 분자(H2)의 파동함수를 찾기 위해 수행한 양자역학적 접근을 살펴보자.

위 <그림 3>는 수소 분자(H2)의 핵과 전자 상태를 나타낸 것이다. 두 수소 원자핵이 일정 거리 RAB만큼 떨어져 있고, 두 개의 전자와 각각 동시에 상호작용하고 있다. 4개의 입자(전자1,2와 핵A,B)가 여러 상호작용으로 얽히고 얽혔다. 이 상태를 나타내는 분자의 파동함수(Ψ )를 구할 수 있을까?
일단, 수소 분자를 구성하는 두 원자핵을 HA와 HB로 구분하고, 핵 HA에 처음 속했던 전자를 e1, 핵 HB에 처음 속했던 전자를 e2로 구분하자.
이때, H2 분자가 만족해야 하는 파동 방정식(wave equation)은 다음과 같다.

파동 방정식 형태는 기본적으로 원자일 때와 차이가 없다. 입자의 종류와 수가 늘어났기에 계의 퍼텐셜 에너지(V )에서만 차이가 있다.
1-전자계의 수소 원자와 달리, 분자를 구성하는 4 개의 입자(핵 HA, 핵 HB, 전자 e1, 전자 e2) 사이에는 크게 3 가지 상호작용이 존재한다. 전자-핵 사이의 끌림(en ), 전자-전자 사이의 반발(ee ), 핵-핵 사이의 반발(nn ) 이다. 이를 바탕으로 수소 분자의 퍼텐셜 에너지(V )를 나타내면 다음과 같다.

분자의 퍼텐셜 에너지(V )도 원자의 퍼텐셜 에너지와 마찬가지로 거리(r )에 대한 함수이다. 그런데 핵과 전자 사이의 거리(r )만 고려했던 원자와 다르다.
핵A-핵B 사이 거리(RAB), 전자1-전자2 사이 거리(r12), 전자1-핵A 사이 거리(r1A), 전자1-핵B 사이 거리(r1B), 전자2-핵A 사이 거리(r2A), 전자2-핵B 사이 거리(r2B)에 관한 함수이다. 역시나 이건, 풀 수 없겠다.
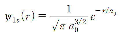
따라서 풀 수 있는 상황으로부터 출발해야 한다. 각각의 수소 원자는 1-전자계이므로 슈뢰딩거 파동방정식을 통해 원자의 파동함수를 구할 수 있다. 수소 원자의 1s 파동함수(ψ )는 다음과 같다.

따라서 분자의 파동함수(Ψ )를 파동 방정식을 통해 구할 수는 없지만, 수소 원자들의 파동함수(ψ ) 조합으로 나타낼 수 있다면, 실제 분자를 설명하는데 가까워질 수 있을 것이다.
[참고] 앞으로는 분자의 파동함수 Ψ 와 원자의 파동함수 ψ 사이의 혼동을 막기 위해 원자의 파동함수를 χ 로 표시하고자 한다.
* 원자가 결합 이론의 접근법
1) 분자의 파동 방정식을 풀어 H2 분자의 파동함수(Ψ )를 구하는 것은 어렵다.
2) 그러나 1-전자계 원자의 파동함수(χ )는 파동 방정식을 통해 구할 수 있다.
3) 따라서 분자의 파동함수(Ψ )를 원자의 파동함수(χ ) 조합으로 나타낼 수 있다면, 분자에 대해 알 수 있을 것이다.
1) 먼저, 거리 RAB에 놓인 두 수소 원자 HA와 HB가 서로 어떠한 상호작용도 하지 않는 경우부터 살펴보자. 전자1은 핵HA와, 전자2는 핵HB와 각각 상호작용하는 경우이다. 마치 두 원자가 무한히 떨어져 있어(RAB → ∞) 각각이 따로 존재하는 경우와 유사하다. 우리는 HA와 HB의 두 원자 파동함수를 동시에 고려해주기만 하면 된다.

A와 B는 독립적인 원자의 파동함수(χ )로 χA와 χB를 갖는다. 그리고, 이 계의 파동함수(Ψ R(AB))는 두 수소 원자의 파동함수의 곱 Ψ = χA(1)χB(2)으로 나타낼 수 있다. 이는 핵 HA에는 e1이, 핵 HB에는 e2가 속한 계의 상태를 동시에 나타낸 것일 뿐이다.
이렇게 구한 분자 파동함수에 관한 거리-퍼텐셜 에너지 변화 <그림 4-2 (a)>를 살펴보면, H2 분자의 실측값인 r = 74.1 pm, E = -458 kJ/mol 와는 비교적 차이가 큰 것을 알 수 있다. (r = 90 pm, E = -24 kJ/mol) 아직 갈 길이 멀다.

2) 이제 전자 e1과 e2가 반대편 원자핵인 HB , HA와 상호작용하는 상황을 생각해 볼 수 있다. 즉, 핵 HB와 e1 , 핵 HA 와 e2 가 상호작용하는 경우다. 이 계의 파동함수는 Ψ = χA(2)χB(1) 로 쓸 수 있다.

그렇다면, 특정 순간, 일정 거리(RAB) 떨어진 두 핵에 속한 전자를 1과 2로 구분해 낼 수 있을까? HA에 e2가, HB에 e1이 속한 상태(Ψ = χA(2)χB(1), 그림 5)와 HA에 e1가 속하고, HB에 e2이 속한 상태(Ψ = χA(1)χB(2), 그림 4-1)를 구분할 수 있을까?
그렇지 않다. 두 상태는 똑같이 타당하며, 구분 불가능하다. 두 상태는 등가이다.
3) 양자역학적 이론에 의하면, 이와 같이 두 가지 경우가 똑같이 타당할 때는 이를 파동함수의 '겹침(중첩)'으로 표현한다. 두 개의 원자 파동 함수를 선형 결합(linear combination)함으로써 계의 상태를 나타낼 수 있다.
Ψ = χA(1)χB(2) + χA(2)χB(1) (unnormalized)
위 식에는 e1이 HA에 속하는 경우와 HB에 속하는 경우가 모두 고려되어 있다. 이 때 나머지 전자 e2의 상태는 자연스럽게 결정된다. 즉, 원자 파동함수의 겹침(선형 결합)으로 분자 파동함수를 나타낸 것이다.

위 식에 따르면, 전자 관점에서 e1은 핵 HA에 속할 수도, HB에 속할 수도 있다. e2도 마찬가지다. 핵 관점에서 HA는 e1을 완전히 소유하지 못했으며, HB도 e2를 완전히 소유하지 못했다. 마치, HA와 HB가 전자 e1, e2를 서로 공유하고 있는(또는 전자 교환이 가능한) 상태라 할 수 있다.
앞서 HA가 e1을, HB가 e2를 완전히 소유했던 1)의 상황과 혹은 그 반대 상황인 2)와는 분명 다르다. 즉, 전자의 공유(교환) 개념이 분자의 파동함수식에 반영되어있다. (공유 결합)
이 분자의 파동함수에 관한 거리-퍼텐셜 에너지 변화<그림 6-2 (b)>를 살펴보면, 이전에 비해 실제값에 많이 가까워진 것을 알 수 있다. (r = 86.9 pm , E = -303 kJ/mol)

전자의 교환(공유)만 파동함수 식에 반영했을 뿐인데, 어떻게 급격한 퍼텐셜적 안정화가 이루어진 것일까? 이는 전자가 이동할 수 있는 영역이 각각의 핵에 고립되어 있을 때보다 넓어졌기 때문이라고 설명할 수 있다. 마치 상자 속 입자(particle-in-a-box)에서 상자의 길이(L)가 길어지면, 전체적인 에너지가 낮아지는 것과 같은 이유이다.
2.3. 슬레이터와 폴링에 의해 개선된 분자 파동함수
4) 사실, 지금까지 고려되지 않은 것이 있다. 바로, 두 전자 사이 상호작용이다.

두 전자는 전기적으로 반발한다. 달리 말해 서로를 가려 막는다. 이러한 가려막기 효과(shielding effect)는 전자가 느끼는 유효한 핵전하(Z*)와 실제 핵전하(Z ) 간에 차이를 발생시킨다. 가려막기 효과를 고려한 분자의 파동함수(Ψ )는 이전보다 개선된 거리-퍼텐셜 에너지 곡선(r = 74.3 pm, E = 365 kJ/mol)을 갖게 한다. <그림 7-2 (c)>

5) 그런데, 앞선 하이틀러-런던의 전자 교환 과정에서 전혀 고려하지 않은 상황이 있다. e1과 e2가 모두 하나의 원자핵에 붙들려 있는 상황이다. 물론, 전자 간 반발에 의해 서로가 피하려 하기에 각 원자에 하나의 전자만 속하는 것이 보다 일반적인 상황이라고 하더라도 항상 전자가 그러한 배치만을 가져야 할 이유는 없다. (특히, 원자핵의 종류가 다르다면)
마치 앞의 '하이틀러-런던의 전자 교환 과정'을 '이상적인 공유 결합' 형태라고 본다면, 지금 고려하려는 '하나의 핵에 두 전자가 모두 속한 상황'은 '이온 결합'의 형태에 가깝다. 즉, 결합에 포함된 이온성을 고려하는 과정이다.
HA - HB ↔ HA+ HB- ↔ HA-HB+
사실, 서로 다른 전하로 이온화된 두 수소 원자는 전혀 자연스러워 보이지는 않는다. 하지만 두 원자핵이 다른 경우, 예를 들어 HCl 과 같은 분자의 결합에서는 이온성 고려 유무가 중요하게 작용할 수 있다.

분자의 파동함수식에 '결합 내 이온성'을 포함시켜주자. 참고로 이것이 폴링의 공명(resonance) 개념이다. 폴링의 공명은 비편재화된 전자 상태를 설명하기 위해 가능한 모든 편재화 상황을 고려해 주는 것과 같다.
Ψ = χA(1)χB(2) + χA(2)χB(1) + λ(χA(1)χA(2) + χB(1)χB(2)) (λ : 결합의 이온성 기여도)
결합의 이온성이 반영된 분자 파동함수(Ψ )에 대한 거리-퍼텐셜 에너지 변화<그림 8-2 (d)>를 살펴보면, 결합 에너지(E = 388 kJ/mol)와 결합 길이(r = 74.9 pm) 값이 보다 개선되었음을 확인할 수 있다.

7) 하이틀러(H), 런던(L), 슬래이터(S)와 폴링(P)이 발달시킨 이러한 원자 파동함수법을 HLSP 법이라고도 한다. HLSP는 각 인물의 앞글자를 딴 것이다. 이는 기본적인 VB 이론의 접근법을 가리키는 표현이라고도 할 수 있다.
3. 정리하면,
1) 원자가 결합(VB) 이론은 결합에 직접 참여하는 전자(원자가 전자)만을 대상으로 한다.
2) 두 원자의 파동함수(χ) 겹침(전자 교환)을 통해 분자의 파동함수(Ψ)를 찾아나가는 접근법이다.
3) 전자의 편재화를 가정한다. 결합에 참여하는 전자는 두 핵 사이에 놓이지만, 하나의 핵에 속한 상태를 가정한다. 전자의 편재화된 상황을 순차적으로 확장해 나가면서 식을 정교화한다.
4) 결국, 결합에 참여하는 원자의 파동함수(오비탈) 종류, 방향(배향) 등에 의해 형성된 결합의 차이가 발생하다. 이후 다루는 시그마(σ) 결합, 파이(π) 결합 등의 구분이 여기에 해당한다.
5) 편재화된 결합 모형이기 때문에 실제 분자 구조를 설명하는데 한계를 갖는다. 따라서 혼성 오비탈, 공명 등의 추가적인 개념이 필요하다.
* VBT 와 MOT 의 차이
- VB Theory : 결합에 참여하는 두 1-전자계 '원자 오비탈(파동함수)의 겹침'을 통해 분자의 결합을 설명한다. 참여하는 두 원자 오비탈의 종류와 배향에 따라 결합의 형태가 달라질 수 있다. (ex 시그마 결합, 파이결합 등)
- MO Theory : 두 고정된 원자핵 사이에 놓인 하나의 전자로 이루어진 계, 즉 '1-전자계 분자(H2+)'를 가정하여 분자 오비탈을 계산한다. 이후 원자 오비탈처럼 다전자 분자 상태로 확장시켜 나가는 접근법이다. (ex. 1σ2σ* 등)
[참고] 관련 교재 및 단원
- Huheey, 무기 화학, Chapter 5. 무기화학에서의 결합 모형 (2) 공유결합
- Atkins, 물리 화학, Chapter 11. 분자구조 - 원자가 결합 이론
- Oxtoby, 일반 화학, Chapter 6.8. 원자가 결합 이론과 전자쌍 결합
* 긴 글 읽어주셔서 감사합니다. 내용 중 오타나 문맥상 오류 등이 있는 경우 댓글로 알려주시면, 최대한 빠른 시일 내에 수정/답변드리도록 하겠습니다.
* 2020-11-22 [그림 5] 수정하였습니다.
'화학 > 화학이야기' 카테고리의 다른 글
| 화학 반응의 속도 (6) | 2020.11.07 |
|---|---|
| [화학 실험] 파라오의 뱀 (Pharaoh's Serpent) (0) | 2020.11.05 |
| 화학 전문 용어가 궁금하다면? (0) | 2020.10.19 |
| 표준 상태, 표준 엔탈피, 표준 자유에너지 (14) | 2020.10.15 |
| 무수 아세트산과 아세트산 무수물의 차이 (4) | 2020.10.01 |