0. 들어가기
서울대에서 과탐2 필수 응시 조건을 풀어버린 스노우볼이 올해 어떻게 굴러갈지 궁금하다. 물화생지2는 안그래도 응시자수가 얼마 없었는데, 앞으로의 학생들은 2과목을 응시할 이유가 더더더더욱 없어졌다. (굳이 왜?) 원래부터 그들만의 배틀 필드였는데, 이탈 역시 상위권 학생들 위주로 이뤄졌을 것이기 때문에 등급컷이 요동치고 과랍어 사태가 벌어지고 있다.
물론, 매년 빠짐없이 3학년 화학2 수업을 주당 3시간씩 이론으로 꽉꽉 채워 진행하는 입장에서, 수능을 위한 수업을 한 것은 아니기 때문에 오히려 좋은건가 하는 생각도 든다. 어차피 대학가서 일반화학 들어야 할 학생들이 대부분이기에 9월까지 모든 진도를 끝내주는 조건으로 학기초 협상을 했는데, 최상위 등급을 노리는 것이 아니라면 올해가 기회가 될 수도 있다.
화학1에 비해 내용 수준이 어려워졌다고 생각할 수 있지만, 오히려 수능 문제는 화학1 보다 깔끔한 편이기에, 오히려 푸는 맛이 있다고 개인적으로 생각한다. 물론, 후반부 문제는 화학1과 마찬가지로 쉽지 않기에 아무리 등급컷이 낮아져도 1등급을 안정적으로 받는다는 것은 또다른 문제이다.
정확한 인원은 기억이 안나지만, 올해 6월 모평 화학2 응시자가 3,400명 정도였다. 지구과학1이 13,000명 수준이었으니 약 1/4 수준이다. 과탐 선택자중에 현재까지는 화학2 선택자가 제일 적고, 물리보다 기피하는 과목이 되어가고 있다.
올해는 화학2가 기회의 땅이 되었으면 좋겠다. (문제도 좀 쉽게...)

[정답] ② (ㄱ)없음 (ㄴ)정촉매 (ㄷ)부촉매
[풀이]
실험 Ⅰ, Ⅱ, Ⅲ 의 초기 농도는 모두 같고, 첨가한 촉매에만 차이가 있으므로, 초기 반응 속도는 촉매에 의해 결정된다. 부촉매는 반응 속도를 늦추고, 정촉매는 반응 속도를 높인다.
상대적 속도가 Ⅲ<Ⅰ<Ⅱ 순서이므로, 주어진 ㄱ ~ ㄷ은 다음과 같다.
(ㄷ)부촉매 , (ㄱ)없음 , (ㄴ)정촉매

[정답] ⑤ ㄱ, ㄴ, ㄷ
[풀이]
주어진 고체의 결합을 통해 리튬과 구리는 금속결정, 흑연은 공유결정(원자결정)임을 알 수 있다. 단위세포의 입자 배열을 통해 리튬은 체심입방구조, 구리는 면심입방구조임을 알 수 있다.
ㄱ. X ~ Z 중 공유결정은 흑연(C)이다. (참)
ㄴ. 체심입방구조(Y)인 것은 리튬(Li)이다. 체심입방구조 단위 세포 내 입자수는 (꼭지점*8)+(중심*1)로 나타낼 수 있으며, 총 [(1/8)*8] + 1*1 = 2개의 입자가 단위 세포 내 존재한다. (참)
ㄷ. Z는 구리(Cu)이며, 금속 결합에 의해 이루어진 결정이다. (참)

[정답] ③ 160 kJ/mol
[풀이]
활성화 에너지는 반응물이 넘어야할 에너지 장벽의 높이와 같다. 정반응에서는 반응물이 A, 역반응에서는 반응물이 B가 된다. 정반응의 활성화 에너지, 역반응의 활성화 에너지, 엔탈피 사이 관계는 다음과 같다.


[정답] ④ ㄴ, ㄷ
[풀이]
ㄱ. CH4와 PH3의 끓는점을 비교하면, PH3의 끓는점(y)이 CH4의 끓는점(x) 보다 더 높다. PH3는 삼각뿔 구조로, 극성 분자이며 쌍극자 사이의 힘을 갖는다. 또한, CH4에 비해 상대적으로 큰 분자량을 가지며, 더 큰 분산력이 작용할 것이다. 분자 사이 작용하는 상호작용이 강할수록 끓는점이 높아진다. (거짓)
ㄴ. 액체 NH3 분자 사이에는 수소 결합이 존재한다. 수소 결합은 전기음성도가 큰 F, O, N에 직접 결합한 수소 원자가 다른 분자의 F, O, N과 상호작용하는 것을 말한다. (참)
ㄷ. 분산력은 순간쌍극자와 유발쌍극자, 또는 유발쌍극자와 유발쌍극자 사이에 작용하는 상호작용으로 주어진 네 분자 모두 존재하는 힘이다. (참)

[정답] ① ㄱ
[풀이]
화학 전지에서 전자의 이동 방향을 통해 B전극에서 산화가 일어났음을 알 수 있다. 화학 전지에서 산화 전극이 (-)극이다. A전극은 자연히 환원 전극이 된다.
산화 전극(-) : B (s) → B2+ (aq) + 2e-
환원 전극(+) : A2+ (aq) + 2e- → A (s)
ㄱ. B 전극은 산화 반응이 일어나는 산화 전극이며, (-)극이다. (참)
ㄴ. 전지 반응이 진행될 때, A전극에서 일어나는 화학 반응은 주어진 반응의 역반응(환원 반응)이다. (거짓)
ㄷ. 전지 반응이 진행될 때, A전극의 질량은 증가하고, B 전극의 질량은 감소한다. 따라서 분자가 증가, 분모가 감소하므로 주어진 값은 증가한다. (거짓)

[정답] ③ ㄱ, ㄷ
[풀이]
ㄱ. 흑연 → 다이아몬드의 반응 엔탈피가 0보다 큰 값을 갖는다(a > 0)는 것은 흡열 반응(ΔH > 0)이라는 뜻이고, 생성물의 엔탈피가 반응물에 비해 높다는 것을 뜻한다. 따라서 흑연 1 mol의 엔탈피는 다이아몬드 1 mol의 엔탈피보다 작다. (참)
ㄴ. 생성 엔탈피(ΔfH )는 1 기압, 지정 온도에서 가장 안정한 홑원소 물질로부터 1 [mol]의 생성물이 만들어지는 과정에서의 반응 엔탈피(ΔrH )이다. 25 ℃, 1기압에서 탄소의 표준 상태는 흑연이며, 위의 첫번째 식이 다이아몬드의 생성 반응식과 같다. 따라서 다이아몬드의 생성 엔탈피 a kJ/mol 이며, 이는 0보다 크다. (거짓)
ㄷ. 다이아몬드 1 mol이 완전 연소 반응식은 다음과 같다.
C (s, 다이아몬드) + O2 (g) → CO2 (g)
위의 연소식은 주어진 두번째 반응식에서 첫번째 반응식을 뺀 것과 같으며, 연소 반응의 엔탈피 변화는 b - a 와 같다. 보기의 문장에서는 에너지의 출입 방향을 방출이라고 명시하였고, 크기(절댓값)만을 묻고 있으므로,
| a - b | = | b - a | kJ 이다. (참)

[정답] ② 21
[풀이]
농도 변환의 방법은 다양하다. 결국 자신이 편한 방식으로 접근하면 시간이야 어쨌든 풀리긴 한다. 혼합했을 때의 몰랄농도가 1 [mol/kg] = 1 [mmol/g]이므로, 용액 (가) ~ (다)의 용질 몰수(mmol)와 용매 질량(g)으로 변환하여 구하려 한다.
(가) 농도 = 1 M, 용액 부피 = 100 mL이다. 따라서 용질의 몰수는 100 mmol 이다. 용액의 밀도가 1.1 [g/mL] 이므로, 용액 질량은 110 g이다.
용질의 질량은 100 mmol * 100 g/mol = 10000 mg = 10 [g]이다. 전체 110 g 중 용매의 질량은 100 g 이다.
(가) 용질 = 100 [mmol] , 용매 = 100 [g]
(다) 농도 = 10 %이며, 전체 용액 질량이 100 g 이므로, 용질 질량은 10 g , 용매 질량은 90 g 이다. 용질 몰수는 10 g * (1 mol/100 g) = 0.1 mol = 100 mmol 이다.
(다) 용질 = 100 [mmol] , 용매 = 90 [g]
(나) 농도 = 0.5 [mol/kg]이므로, 용매 1 kg일 때, 용질이 0.5 mol = 50 g 포함된 것과 같다. 용액 질량이 1050 g 일 때, 용질 질량은 50 g 이며, 이를 분율로 표현하면, 50/1050 = 1/21 이다. 용질/용액 농도 분율 1/21로 일정하게 유지된다.
용질 1 g + 용매 20 g = 용액 1+20 [g]
용질 2 g + 용매 40 g = 2+40 [g]
용질 50 g + 용매 1000 g = 용액 1000+50 [g]
용질 y g + 용매 20y g = 용액 21y = x [g]
용질의 몰수는 y [g] * ( 1 mol/100 g) = y/100 [mol] = 10y [mmol] 이다.
(가) + (나) + (다)의 혼합 농도 1 [mol/kg] = 1 [mmol/g] 이므로,
혼합 용액 내 용질 몰수 [mmol] = 100 + 100 + 10y = 200 + 10y [mmol]
혼합 용액 내 용매 질량 [g] = 100 + 90 + 20y = 190 + 20y [g]
200 + 10y = 190 + 20y 이므로, y = 1 이며, (나) 용액의 질량 x = 21 이다.

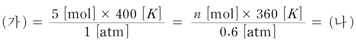
[정답] ② ㄴ
[풀이]
(가)에서 외부 압력이 1 atm이고, 기체 X와 Y가 모두 피스톤에 의해 압력 평형 상태에 위치하므로,
(가)에서 기체 X 압력 = 1 atm, 기체 Y 압력 = 1 atm 이다.
온도가 일정할 때, PV ∝ n 이며, (가)에서 Y는 1 atm * 10 L = 10 mol 이라면, X는 1 atm * 5 L = 5 mol 이 존재한다고 가정할 수 있다.
Y 몰수 = 10 mol , X 몰수 = 5 mol
(나)에서는 피스톤 I가 고정 장치에 의해 고정되어 X의 부피가 고정되었고, 전체 온도가 400 K 에서 T1으로 변화했다. 여전히 기체 Y는 대기압 1 atm과 평형을 이루고 있으므로, 10 mol Y가 여전히 같은 1 atm의 압력을 갖는다고 볼 수 있다. 그런데 차지하는 부피는 9 L로 줄었다. 이는 공간이 줄어든 비율(9/10)만큼 온도도 감소해 분자 운동이 느려졌기 때문이라고 할 수 있다.
따라서 온도 T1 는 400 K * (9/10) = 360 K 이다.
ㄱ. T1 조건에서, X는 기체상과 액체상이 동적 평형을 이루고 있으며, 이 때 증기가 갖는 압력을 증기압으로 정의한다. 따라서 T1 온도에서 X의 증기압은 0.6 atm이다. (거짓)
ㄴ. (나)의 온도 T1 = 360 K (나)에서 온도가 360 K 으로 감소함에 따라 기체 X는 액화가 일어났으며, 이는 X가 Y보다 끓는점이 높다는 뜻이다. 끓는점이 높다는 것은 끓이기 어렵다는 뜻이고, 기화가 어렵다는 것은 액체상과 기체상 중 액체상을 선호한다는 뜻이다. 끓는점은 X가 Y보다 높다. (참)
ㄷ. (가) → (나)로 변화하는 과정에서 피스톤 I에 고정장치에 의해 고정되었으므로, 변화 전후의 부피는 5 L로 같다. 기체 상수 R 도 변화가 없으므로, (가)와 (나)의 V/R = nT/P 값이 일정해야 한다.

따라서 (나)의 기체 X 몰수 n = 30/9 [mol] 이며, 액화된 X 몰수는 5 - (30/9) = 15/9 이다.
기체 X 질량 / 액체 X 질량 = 30/15 = 2이다. (거짓)

[정답] ⑤ ㄱ, ㄴ, ㄷ
[풀이]
압력 P1과 P2는 P0와 P3 사이 구간에 존재해야 하고, 일정 온도 t2에서는 두 가지 상평형 구간을 지나쳐야 한다. 일정 온도(t2), 세로줄을 그어 두 종류의 상평형 구간을 지날 수 있는 방법은 고체-액체, 고체-기체 상평형 구간 외에는 존재하지 않는다. (만약, 고체-액체 상평형 기울기가 양의 값을 가졌다면, 고체-액체, 액체-기체 상평형 구간을 지나치는 온도가 t2가 된다.)
일정 압력 P2에서는 온도 t1, t2 에서 모두 상평형 구간을 가지며, 이는 고체-액체, 액체-기체 상평형임을 알 수 있다.

ㄱ. t1 > 0.0098 ℃ 이다. (참)
ㄴ. P1 < 0.006 atm 이다. (참)
ㄷ. P2와 P1의 평균 압력에서 A의 안정한 상은 고체상이다. (참)

[정답] ① ㄱ
[풀이]
전기 분해 문제이다. 전기 분해 실험에서 산화 전극과 환원 전극에서 일어나는 반응을 찾아내면, 쉽게 구분된다. 그리고, 전기 분해 과정에서 산화수의 변화를 생각하면, 산화 반응이 일어나는지 환원 반응이 일어나는지를 쉽게 가려낼 수 있다. 산화 전극, 환원 전극에서 Cl2, H2가 발생하는 것은 NaCl 수용액이다. 따라서
(나)는 NaCl 수용액
(+)극 = 산화 전극(산화수 증가) = 2Cl- → Cl2 = (ㄴ)
(-)극 = 환원 전극(산화수 감소) = 2H+ → H2 = (ㄱ) 이다.
환원 전극에서 (ㄱ)H2 기체를 발생시키는 또 다른 반응은 물의 분해이며, (가) = H2O 이다.
산화 전극에서 (ㄴ)Cl2 기체를 발생시키는 또 다른 반응은 NaCl 용융액의 분해이며, (다) = 액체 NaCl 이다.
ㄱ. (ㄱ)은 기체 H2 이다. (참)
ㄴ. NaCl 수용액의 전기 분해 반응이 t 초 동안 진행될 때, 생성된 물질의 양은 Cl2 : H2 가 1 : 1 비율이므로, 생성되는 물질의 양(mol)은 같다. (거짓)
ㄷ. (다)는 NaCl 용융액이다. (거짓)

[정답] ① ㄱ
[풀이]
ㄱ. 약산과 약산의 짝염기로 구성된 계는 완충계를 구성한다. 수용액 (가), (나) 모두 완충계를 구성하는 물질이 HA와 A-로 같으며, 두 용액에 관여하는 Ka가 같다.(일정 온도) 그리고 두 용액의 pH가 같다는 것은 짝산 짝염기의 비율이 같다는 뜻이다. (관련된 글 작성 중, #키워드 = 헨더슨-하셀바흐 식)
따라서 (가)의 [A-]/[HA] = 0.4/0.2 = 2 이므로, (나)의 a/0.1 = 2 이다. a = 0.2 이다. (참)
ㄴ. (가)에 짝염기를 10 mmol 만큼 첨가하면, 짝염기 A-의 비율이 올라가므로, pH는 5보다 커진다. (거짓)
ㄷ. (나)에 H+ 1 mmol을 첨가하면, 짝산 HA의 비율이 증가하고, 짝염기 A-의 비율이 감소한다. HCl 첨가 전 (나) 용액의 몰농도는 2[HA] = [A-] 관계를 유지하고 있었는데, [HA]는 증가하고, [A-]는 감소하므로,
2[HA] > [A-] 이다. (거짓)

[정답] ③ 3/2
[풀이]
(가)와 (다)의 끓는점 오름의 정도가 같다는 것은 (가)와 (다)의 용질 몰수가 같다는 뜻이다. 용질 A와 B의 몰질량을 A, B라고 했을 때,
(가) 용질 몰수 = (a/A) + (9b/B)
(다) 용질 몰수 = (9a/A) + (b/B)
이며, 이 둘은 같다. 식을 정리하면, (8a/A) = (8b/B) 이므로 a/A = b/B 라는 뜻이다. a/A , b/B 는 mol에 해당한다. (단위로만 생각하면, a 는 질량 [g], A 는 [g/mol] 이므로)
표의 용질 A, B 모두를 각각의 분자량으로 나눠서 다시 표현한다면, 모두 a/A, b/B 형태로 나타낼 수 있고, a/A와 b/B는 모두 똑같이 [mol]로 변환할 수 있다.
(가)는 1 mol의 A, 9 mol의 B , (다)는 9 mol의 A, 1 mol의 B로 생각할 수 있다. 즉, 10 mol의 용질이 있을 때, 끓는점은 k 만큼 오른다.
용액 (나) 역시 용질 몰수 5+5 = 10 mol 로, 끓는점 오름은 k 만큼 이루어질 것이며, (라)는 10+5 =15 mol 로, 1.5k 만큼 끓는점이 상승할 것이다. 따라서
x = k , y = 1.5k 이므로, y/x = 3/2 이다.
* 위 문제의 출처는 한국교육과정평가원이며, 정답 및 해설 강의는 EBSi 사이트에서도 확인하실 수 있습니다.
[다음글] https://stachemi.tistory.com/307
2023학년도 대학수학능력시험(2022.11.17.) 화학2 풀이 [13번 ~ 20번]
[이전 글] 1~12번 풀이 https://stachemi.tistory.com/305 2023학년도 대학수학능력시험(2022.11.17.) 화학2 풀이 [1번 ~ 12번] 0. 들어가기 서울대에서 과탐2 필수 응시 조건을 풀어버린 스노우볼이 올해 어떻게 굴
stachemi.tistory.com
'화학 > 기출풀이' 카테고리의 다른 글
| 2023학년도 대학수학능력시험(2022.11.17.) 화학1 풀이 [1번 ~ 14번] (0) | 2023.08.22 |
|---|---|
| 2023학년도 대학수학능력시험(2022.11.17.) 화학2 풀이 [13번 ~ 20번] (0) | 2023.08.21 |
| 2024학년도 수능 6월 모의평가(2023.6.1.) 화학1 3점 문항 풀이 (0) | 2023.06.07 |
| 2024학년도 수능 6월 모의평가(2023.6.1.) 국어 지문 [8~11번] (0) | 2023.06.01 |
| 2023학년도 3월(3.23.) 고3 전국연합학력평가 국어 [14~17번 지문] (0) | 2023.03.30 |