본문 바로가기

화학/기출풀이

2021 MEET/DEET 자연과학2(일반화학) 기출문제 풀이 (6번-10번)

728x90

 

 

<이전 글>

2021 MEET/DEET 자연과학2(일반화학) 풀이 1번~5번 : https://stachemi.tistory.com/146

 

2021 MEET/DEET 자연과학2(일반화학) 기출문제 풀이 (1번-5번)

 주절주절... 노량진에서 외로이 임용고시를 준비하던 과거의 나는 M/D/PEET 시험이 시행된 8월 어느 날에 단골 인쇄 가게를 들렀었다. 당시 교원임용고시 1차 시험은 기본 교육학 외에 교과 교육��

stachemi.tistory.com

 


 

2021 MEET/DEET 자연과학2(일반화학) 기출문제 풀이 (6번-10번)

 

 

2021 MDEET 자연과학2(일반화학) 6번

6번 풀이 ⑤ ㄱ, ㄴ, ㄷ

  기체 전반에 관한 내용이다. 기체의 운동 속도는 기체 입자의 화학식량의 제곱근에 반비례하며, 온도의 제곱근에 비례한다. 입자의 질량이 클수록 느리고, 온도가 높을수록 빠르다. 기체의 평균 속도를 식으로 나타내면 다음과 같다. 

ㄱ. 아르곤(Ar=40)의 화학식량이 네온(Ne=20)의 2 배이므로, 같은 온도라면, 반응속도가 √2 배 빨라야 한다. 주어진 표에서 기체 원자의 평균 속력이 2 배 빠른 것을 보아 온도 또한 2 배 높은 조건이라는 것을 알 수 있다. 온도가 두 배 높으면, 기체의 속도가 √2배 빨라진다. 따라서 (가)의 온도는 2T 이다. (참)

ㄴ. 두 기체 모두 이상기체 상태방정식을 만족해야 한다. PV = nRT 를 만족한다고 했을 때, 아르곤의 몰수는 2 mol 이며, 부피 내 질량은 80g이라 할 수 있다. 밀도 d = 질량/부피이며, d = 80g / 2V = 40g / V 로 나타낼 수 있다.

  네온의 경우 밀도가 2d 이므로, 2d = 80g / V 임을 아르곤의 식으로부터 구할 수 있다. 즉, 네온의 몰수는 4 mol임을 알 수 있다. 이를 이용하여 (나)의 압력을 구하면, 4 [mol] * R * 2T / V = 8P 임을 알 수 있다. (참)

ㄷ. 기체 사이의 평균 거리는 단위 부피당 입자수로 알 수 있다. 네온은 4mol/ V 이며,  아르곤은  2mol/ 2V 이다. 따라서 같은 부피 내 네온의 수가 더 많으므로, 네온의 평균 거리가 더 가깝다는 것을 알 수 있다. (참)

 


 

2021 MDEET 자연과학2(일반화학) 7번

7번 풀이 ④ ㄱ, ㄷ

  삼투 현상(osmosis)이란 반투막으로 분리된 농도가 다른 두 용액 사이에서 발생하는 것으로, 저농도 용액의 용매가 고농도 용액으로 이동하는 현상이다.

  만약, 문제 그림과 같은 U자 관에서 삼투 현상이 발생한다면, 용매가 이동하면서 높이 차가 발생한다. 이 때, 두 용액의 높이 차가 발생하지 않도록 처음부터 외부에서 가해주어야 하는 압력이 삼투압(osmotic pressure)이다. 삼투 현상이 발생하는 원인은 초기 농도 차이에 있으며, 두 용액의 초기 농도 차만큼의 압력 차가 발생한다.

  주의해야 할 점은 U자관에서의 삼투 현상에서는 농도 평형이 이루어질 때까지 용매 이동이 일어나지 않는다. 용매는 이동하여 고농도 용액에 물기둥을 쌓게 되며, 물기둥에 의한 압력은 추가적인 용매의 이동을 막는다.

  * 용매 이동으로 인한 물기둥이 추가적인 용매 이동을 막는다는 것에 대해, 다음과 같이 생각하면, 조금이나마 이해를 도울 수 있다. 저농도 C1에서 고농도 C2로 용매가 이동하여 높이차(물기둥)가 발생하면, 높이차가 발생한만큼만 C2' 용액을 덜어내자.  용매의 이동으로 두 용액의 농도는 초기 보다 조금 비슷해졌다. 계속해서 발생한 물기둥만큼 용액을 덜어내어 높이 차를 없애면, 계속해서 삼투현상이 일어나 용매가 이동하고, 또다시 높이차를 만든다. 용액을 덜어내고, 용매가 이동하는 과정을 무수히 반복하여 더이상 용액을 덜어내지 않아도, 높이차가 발생하지 않았다면, 용액은 결국 농도 평형에 도달한다. 반면, 계속해서 용액을 덜어내어 용매가 이동할 수 있도록 하지 않는다면, 발생한 물기둥에 의해 더이상의 용매 이동은 일어나지 않는다.

  그림 (가)는 C2 용액에 P0 만큼의 압력을 가하여 용매 이동이 전혀 일어나지 않았다. 즉, P0는 두 용액의 초기 농도 차이에 해당하는 삼투압(Π)이다. 반면, (나)는 용매의 이동이 발생하여 두 용액 간 높이 차(h )가 발생했으며, 용액의 농도가 초기와 달라졌다.

<보기>를 살펴보면,

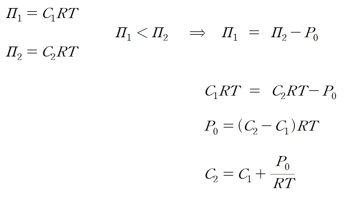
ㄱ. (가)의 C1 용액의 압력을 Π1=C1RT, C2 용액의 압력을 Π2=C2RT라고 하자. 농도가 진한 C2RT의 용액의 압력이 더 크다. (Π2 > Π1) 반투막이 없다면, C2 용액의 용질이 C1쪽으로 적절히 확산이 일어나면서 농도 평형에 도달하며, 용액의 높이 차도 발생하지 않는다. 그러나 반투막에 가로막혀 용질이 C2에서 C1으로 확산될 수 없기 때문용매가 이동하여 C1의 농도를 증가시키고, C2의 농도는 감소시켜야 한다. 점점 용액의 농도가 비슷해지며, 두 용액의 압력 차가 줄어든다.

  (가)의 경우, 용매의 이동을 시작부터 막아야 한다. 즉, 초기 농도차에 의해 발생하는 압력을 용매 이동 방향과 반대 방향으로 가해주어야 한다. 문제에서는 그 압력 크기가 P0라고 주어져 있다. 이를 정리하면 다음과 같다. (참)

ㄴ. (나)의 경우 용매의 이동으로 C1 용액과 C2 용액이 변했으며, 더 이상 용매의 이동이 없는 상태이다. 용매의 이탈로 C1 용액은 진해지고, 용매의 유입으로 C2 용액은 묽어졌다. 임의로 (나)에서의 용액 농도를 C1', C2'이라 한다면, 두 용액의 압력은 다음과 같다.

  (나)의 두 용액은 외부 대기압 1 atm과 평형을 이루고 있다. 좌측의 C1' 용액의 압력 C1'RT = 1 atm이며, 우측의 C2'용액의 압력은 그림의  아래 점선까지만 잘라서 생각해보는 것이 쉽다. C2'RT = 1 atm + ρgh 만큼의 압력을 받고 있다. 두 식을 1 atm에 대해 정리하여 연립해주면, 다음 관계식을 구할 수 있다.

  따라서 높이차가 발생했을 때, 두 용액의 농도는 같아질 수 없다. 만약, 높이 차가 발생할 수 없는 환경(h = 0)이 갖춰진다면, 농도 평형이 이루어질 때까지 용매는 이동할 수 있다. (거짓)

ㄷ. 위의 보기 ㄱ)과 ㄴ)의 결과식을 살펴보면, P0는 초기 농도차(C2 - C1)에 의한 압력인데 반해,  ρgh 는 최종 농도차(C2' - C1')에 의한 압력임을 알 수 있다. 따라서 P0는 언제나 ρgh 에 해당하는 압력보다 크다. (참) 

  [관련 글] 190. 삼투와 삼투압, 그리고 농도 평형 : stachemi.tistory.com/190

 

삼투와 삼투압, 그리고 농도 평형

 [ 긴 글 주의 ] 삼투와 삼투압, 그리고 농도 평형 "그래서 언제까지 일어나는 건데?" 0. 들어가기 고등학교 화학2, 용액 단원에서는 총괄성(colligative property)을 다룬다. 학생들은 증기압 내림, 끓는

stachemi.tistory.com

 


 

2021 MDEET 자연과학2(일반화학) 8번

8번 풀이 ④ ㄴ, ㄷ

  반감기를 통해 (가), (나), (다) 반응 차수를 찾아야 한다. 초기 반응물의 농도가 1.0 M이었으므로, 표를 통해 1차 반감기와 2차 반감기를 알 수 있다. (가)는 반감기가 1초에서 0.5초로 점차 감소하므로 0차 반응, (나)는 반감기가 1초로 일정하므로 1차 반응, (다)는 반감기가 0.5초에서 1초로 점차 증가하므로 2차 반응이다.

반응 차수에 따른 반감기 변화

<보기>를 살펴보면,

ㄱ. 0차 반응인 (가)와 1차 반응인 (나)의 초기 반응 속도는 다르다. 초기 반응속도는 시간에 대한 농도 그래프의 초기 기울기를 통해 비교할 수 있다. 초기 농도 1.0M (t = 0)에서 첫번째 반감기인 1초에 해당하는 농도 값 = 0.5 M까지의 그래프 개형을 살펴보면, 0차 반응 (가)는 직선을 따라, 1차 반응 (나)는 곡선을 따라 감쇠한다. (나)가 (가)보다 급격하게 감소한다. (거짓)

ㄴ. (다)의 속도상수는 초기농도 1.0M과 반감기 0.5초를 통해 구할 수 있다. 2차 반응의 반감기 t = 1 / k[A]0 이다. 따라서 k = 1/ t [A]0 이며, k = 1 / (0.5*1) = 2 (Ms)-1 이다. (참)

ㄷ. 반응 (다)에서 반응시간이 2 초일 때, 반응물의 농도는 적분속도식을 통해 구할 수 있다. 2차 반응의 적분 속도식은 다음과 같다.

  k = 2, t = 2, [A]0 = 1 을 대입하면, [A] = 1 / (1+4) = 0.2 M 임을 알 수 있다. (참)

 


 

2021 MDEET 자연과학2(일반화학) 9번

9번 풀이 ④

  단계 1과 단계 2의 반응이 사전 평형에 도달했으므로, D와 E의 농도가 일정하게 유지되고 있다고 근사할 수 있다. 이에 단계 3의 D와 E의 농도를, A와, B로 표현할 수 있다. 속도 결정 단계(rds)는 3단계이며,  반응 속도식은 다음과 같이 나타낼 수 있다.

  단계 1과 단계 2의 [D], [E] 농도를 표현하면, 다음과 같다.

  이것을 단계 3의 속도식에 대입하면, 다음과 같다. 

  <보기>를 살펴보면,

(1) 단계 1은 뒤의 반응에 비해 상대적으로 매우 빠르게 사전 평형에 도달했으며. 이에 정반응의 속도와 역반응의 속도가 같게 유지되고 있다. (참)

(2) 단계 3은 D와 E가 서로 반응하여 2분자의 A와 1분자의 C를 생성하는 2분자도 반응이다. (참)

(3) 중간체는 반응 중간에 생성되지만, 최종 반응식에는 나타나지 않는 중간 생성물로, D와 E 가 중간체이다. (참)

(4) 위 반응의 전체 반응차수는 4차이다. A에 대해 3차이며, B에 대해 1차 반응이다. (거짓)

(5) 전체 속도상수는 위에서 구한 것과 같다. (참)

 


 

2021 MDEET 자연과학2(일반화학) 10번

10번 풀이 ⑤ ㄱ, ㄴ, ㄷ

  온도(T )에 따른 표준반응자유에너지(ΔG ˚) 그래프이다. ΔG ˚  = ΔH ˚ - TΔ˚  이므로, 기울기는 -ΔS ˚ , y 절편은 ΔH ˚이다. <보기>를 살펴보면,

ㄱ. 반응 (가)의 기울기를 묻고 있다. 주의해야 할 점은 기울기의 단위이다. 일반적으로 자유에너지G ˚)와 엔탈피(ΔH ˚)는 [kJ] 단위를 사용하기 때문에, y 축 단위가 [kJ]로 표시되어 있다. 그런데, (가)에서 엔트로피의 단위로 [J/K]을 요구하고 있다. (원래 표준 엔트로피 변화량의 기본 단위이긴 하다.) 어쨌든 기울기는 y 변화량 / x 변화량 으로 구하여 단위를 고려해주면 다음과 같이 나타낼 수 있다. (참)

ㄴ. T1에서 반응 (나)의 ΔG ˚는 0이다. 따라서 ΔH ˚ = T1ΔS ˚ 가 성립한다. T1 [K] = Δ˚/ Δ˚ 이다. 별도의 단위가 주어지지 않았으므로, 그래프 상에서의 ΔS ˚ 단위는 [kJ/K]라 할 수 있다. (참)

ㄷ. 반응자유에너지와 표준반응자유에너지 반응지수 사이에는 다음과 같은 관계가 있다.

  평형 상태에서는 반응지수 Q = 평형상수 K 이며, ΔG = 0 이다. 따라서 식은 다음과 같이 정리된다.

  그래프를 통해 T 2에서 반응 (가)와 (나)의 표준 반응자유에너지(ΔG ˚ )가 같음을 알 수 있다. 따라서 평형상수 K 또한 같은 값을 갖는다. (참)

 

 


 

* 본문 설명 중 잘못된 부분을 말씀해주시면, 참고하여 수정, 업데이트 하도록 하겠습니다. 위 문제의 출처는 mdeeteet.org 의치학교육입문검사 사이트입니다.

 

* 2020-08-21 추가

2021 MEET/DEET 자연과학2(일반화학) 기출문제 풀이 (11번 ~ 15번) : stachemi.tistory.com/149

 

2021 MEET/DEET 자연과학2(일반화학) 기출문제 풀이 (11번-15번)

<이전 글> 1번~5번 풀이 : https://stachemi.tistory.com/146 6번~10번 풀이 : https://stachemi.tistory.com/148 2021 MEET/DEET 자연과학2(일반화학) 기출문제 풀이 (11번-15번) 11번 풀이 ⑤ 온도와 부피가..

stachemi.tistory.com

 

 

728x90
반응형