2020학년도 7월 모의고사가 지난 22일에 시행되었다. 이번 주관 교육청은 인천광역시교육청이다. 3점 문항은 5번, 8번, 10번, 13번, 14번, 15번, 16번, 17번, 18번, 20번으로 총 10문항이다.
(어쩔 수 없겠지만) 점점, 문제가 최상위권 변별에만 초점이 맞춰지는 것 같아서 개인적으로는 아쉽다. 내가 학생들과 같은 부담감을 느끼며 시험을 함께 본다고 해도 맨 위에 변별될 자신은 없다. 시험 때마다 힘든 30분을 보냈을, 앞으로 또 보내야 할 학생들에게 격려를 보낸다.
유투브와 EBSi 등에 듣기 좋은 해설들이 훨씬 많다. 혹시나 영상을 시청할 여건이 되지 않거나 차분히 생각하면서 천천히 문제를 분석하려는 학생들에게 조금이나마 도움이 되었으면 한다.
2020학년도 7월(7.22.) 고3 학력평가 화학1 3점 문항 풀이
5번 문제

5번 답 ③ ㄱ, ㄷ
2015개정이 되면서 화학 평형 중 일부가 화학1으로 내려왔다. 교육과정 성취기준 해설에서 화학 평형 개념을 정성적으로 다루라고 안내되어 있는데, 이를 잘 따른 것으로 보인다.
[12화학 I 04-01] 용해 평형, 상평형 현상 등을 가역 반응의 예로 들어 동적 평형 상태를 정성적으로 다룬다.
문제의 (가)는 평형 상태이며, 관련된 평형 반응은 두 가지이다. NaCl 수용액(물)과 수증기의 평형, NaCl의 용해 평형이다. 두 평형 모두 동적 평형 상태이기 때문에 물의 증발(기화), 수증기의 응축, NaCl의 용해, NaCl의 석출이 모두 일어나고 있다. 다만, 증발속도와 응축속도, 용해속도와 석출속도가 같아 겉보기에 아무런 반응이 진행되지 않는 것 처럼 보이는 것이다.
<보기>를 살펴보면,
ㄱ. 평형 상태에서 수증기는 물로 응축되지만, 같은 속도로 물이 수증기로 증발되기 때문에 수증기의 분자수는 일정하다. (참)
ㄴ. 고체 NaCl이 용해되는 속도와 NaCl 수용액으로부터 NaCl이 석출되는 속도가 같아 겉보기에 아무런 반응이 진행되지 않는 것 처럼 보인다. (거짓)
(참고로, 백설탕으로 포화된 설탕 수용액에 흑설탕을 넣으면, 용해 평형이 동적인지 정적인지를 확인할 수 있다. 평형 상태가 정적이라면, 이미 백설탕으로 포화되어 흑설탕은 더이상 용해될 수 없으며 용액을 탁하게 만들 수 없다. 하지만 실제로 포화 설탕 수용액에 흑설탕을 넣으면, 매순간 백설탕이 용해, 석출되고 있기에 백설탕이 석출되는 과정에서 흑설탕이 용해되어 용액의 색이 탁해진다.)
ㄷ. 동적 평형 상태이다. (참)
8번 문제

8번 답 ③ C, A
같은 주기에서는 원자번호가 커질수록 유효핵전하가 증가하여 원자 반지름이 작아지고, 같은 족에서는 원자 번호가 커질수록 껍질수가 증가하여 원자반지름이 커진다. 리튬(3Li), 베릴륨(4Be)은 2주기 원소이며, 나트륨(11Na), 마그네슘(12Mg), 알루미늄(13Al)은 3주기 원소이다.
이들 사이 원자 반지름 대소 관계를 비교하면 다음과 같다.

다섯 원소 중 가장 원자 반지름이 큰 원소는 나트륨이며, 나트륨(Na)이 E임을 알 수 있다. 이에 자연스럽게 3주기 중 크기가 작은 B가 알루미늄(Al), 크기가 중간인 D가 마그네슘(Mg)임을 알 수 있다. 남은 A와 C 중 원자 반지름이 큰 것이 C이므로, C가 리튬(Li), A가 베릴륨(Be)이 된다. 원자번호가 증가하는 순서로 배열해야 하므로, (가)는 C, A가 된다.
10번 문제

10번 답 ④ ㄴ, ㄷ
교육과정 평가 방법 및 유의사항을 작성했다가 지웠다. 문제에 대한 넋두리를 썼다가 공부하는 학생들에게 혼란만 줄 것 같아서 지웠다.
A에서 E로 갈수록 원자가 전자 수가 순차적으로 증가하고 있다. 2주기, 3주기를 구분할 수 없기 때문에 예상 되는 원소를 A부터 E 에 모두 적어보면 다음과 같다. (2주기, 3주기 순서)
A (붕소, 알루미늄), B (탄소, 규소), C (질소, 인), D (산소, 황), E (플루오르, 염소)
A에서 E까지 모두 같은 주기의 원소라면 A에서 E 방향(원자 번호 증가)으로 갈수록 제1 이온화 에너지가 점차 증가하는 경향을 보이며, C와 D 사이에서 감소하는 예외성이 나타나야 한다. 문제에서는 제2 이온화 에너지가 주어졌으므로 같은 주기 원소일 경우, 예외성이 D와 E 사이에서 발생해야 한다. (참고로, 제 2 이온화 에너지는 A~E의 1가 양이온(A+ ~ E+)이 2가 양이온(A2+ ~ E2+)이 되는 과정에서 필요한 이온화 에너지라고 생각하면 된다. 예외성은 원소나 이온의 전자배치 기준이다.)
그런데, 문제의 D와 E 사이 제2 이온화 에너지 예외성이 나타나지 않았으며, 오히려 에너지 차 또한 크다. 따라서 D와 E는 같은 주기가 아니다. 따라서 D는 황(16S), E는 플루오르(9F) 임을 예상할 수 있다.
또한, 문제에 제시되지 않은 2족 원소(베릴륨, 마그네슘)와 A 사이에서도 제1 이온화 에너지가 역전되는 예외가 있다. 문제에 제시된 것은 제 2 이온화 에너지이므로, A와 B가 같은 주기라면, A와 B 사이에서 예외성이 발생해야 한다.
A와 B 사이에도 제2 이온화에너지 예외성이 나타나지 않았다. A와 B도 같은 주기가 아니다. 따라서 A는 알루미늄(13Al), B는 탄소(6C) 임을 알 수 있다. (A가 2주기 베릴륨, B가 3주기 규소인 반대 경우가 안되는 이유는 C를 밝히는 과정에서 알 수 있다.)
예외성과 무관한 C는 B와 같은 주기거나 B 3주기 C 2주기라면 B와 C 사이 제2 이온화 에너지는 증가해야 한다. 그러나 감소하고 있다. 이는 B와 C가 동일 주기가 아니며, B는 2주기, C는 3주기 원소라는 것을 의미한다. B는 탄소(6C), C는 인(15P)이다.
<보기>를 살펴보면,
ㄱ. A(알루미늄, 13Al)와 C(인, 15P)는 동일 주기 원소이다. 동일 주기에서 원소의 유효핵전하는 원자번호가 증가할수록 커진다. 따라서 C가 A보다 더 큰 유효핵전하를 갖는다. (거짓)
ㄴ. B(탄소, 6C), E(플루오르, 9F)는 모두 2주기 원소이다. (참)
ㄷ. C(인, 15P)와 D(황, 16S)는 모두 3주기 원소이며, 15족과 16족 사이에서는 제1 이온화 에너지의 역전이 일어나는 예외성이 있다. 따라서 C의 제1 이온화 에너지가 D 보다 크다. (참)
13번 문제

13번 답 ⑤ ㄱ, ㄴ, ㄷ
원자가 전자 수를 이용하여 X, Y, Z를 찾아야 한다.
원자가 전자가 7개인 X와 Y는 할로겐 원소이며, 원자 번호는 2주기 플루오르(F)가 9, 3주기 염소(Cl)가 15이다. 원자가 전자가 5개인 Z는 7번 질소(N) 또는 15번 인(P)이다.
전기적으로 중성인 분자 1몰에 들어있는 전자의 몰수는 분자 1몰에 들어있는 양성자의 몰수와 같다. 또한 원자의 양성자 수가 곧 원자 번호이므로, 분자 내 존재하는 모든 원자들의 원자번호 합이 곧, 분자 1몰의 전자 수와 같다.
두 할로겐 원소 X, Y로 이루어진 (나)의 원자번호 합이 26인 것을 보아 플루오르(9F)와 염소(17Cl)로 이루어진 분자임을 알 수 있다.
또한, 할로겐 원소로 이루어진 분자인 (가)는 옥텟 규칙을 만족하기 위해서는 X2 형태가 되어야 함을 알 수 있고, (다)는 중심 원자를 Z로하여 세 개의 Y가 결합한 ZY3 형태가 옥텟 규칙을 만족할 수 있다. 각 원소의 원자 번호를 고려했을 때, Z는 7번 질소(N), Y는 9번 플루오르(F), X는 17번 염소(Cl)라는 것을 알 수 있다.
이를 바탕으로 <보기>를 살펴보면,
ㄱ. a는 X2 = Cl2 또는 ZY3 = NF3 를 구성하는 원자들의 원자 번호 합이다. 따라서 Cl2=17*2=34, NF3=7+(9*3)=34 임을 알 수 있다. (참)
ㄴ. X는 3주기, Z는 2주기 원소이므로, 원자가 전자의 주양자수는 X가 Z보다 크다. (참)
ㄷ. (나)는 서로 다른 원자로 만들어진 이원자분자로 전기음성도 차이에 의해 부분적인 전하를 갖는다. 전기음성도가 더 큰 Y(플루오르, F)가 결합전자쌍을 자기쪽으로 끌어당겨 부분적인 음전하를 갖게 된다. (참)
14번 문제

14번 답 ② ㄷ
비공유전자쌍 수와 공유 전자쌍 수의 비를 이용하는 문제이다. 사실 많은 화합물을 다루게 되면, 직관적으로 분자 (가) ~ (라)를 찾을 수 있다. 문제 조건을 살펴보면, C, O, F 의 두 종류 이상의 원소를 이용하고, 구성 원자 수가 4개 이하인 분자라고 하는데, 사실 조건을 만족하는 분자는 많지 않다.
C는 최대 4개, O는 최대 2개, F는 최대 1개의 결합을 할 수 있기 때문에 주로 C가 중심 원소로 위치할 것이다. 아주 특수한 경우를 제외하고는 F가 중심 원소가 되는 일은 없다. F는 최대 결합 수로 보았을 때, H(수소)와 다를 바 없어 유사하게 생각해도 좋다. 하지만 결합 1개 당 비공유 전자쌍이 3쌍이 남는 것이 H와의 차이점이다.
분자 (가)와 (다)는 쌍극자 모멘트가 0이므로, 분자 구조가 대칭형임을 알 수 있다. 사실, 문제 조건을 만족하면서 동시에 대칭 구조를 갖는 것은 CO2, C2F2 외에 존재하지 않는다.
(가)의 공유전자쌍의 수(분모)가 5인 것으로 보아 최소 5개의 결합선을 갖는 것을 알 수 있으며, 원자 수가 4개 이하이므로 이는 다중 결합을 포함함을 말해준다.
(다)의 경우 공유전자쌍(결합수)과 비공유전자쌍의 수가 1 : 1인 것을 통해 산소가 탄소에 이중결합해서 만들어진 구조임을 예상 가능하다. 산소가 이중결합을 할 경우 결합전자쌍 2개와 비공유 전자쌍 2개를 갖는다. (가)는 C2F2, (다)는 CO2 이다. X=플루오르, Y=탄소, Z=산소 이다.
(나)는 F와 O로 만들어진 분자다. 공유 전자쌍이 3인 것으로 보아 최소 3개의 결합을 가져야 한다. (나)는 F-O-O-F 형태의 과산화물임을 알 수 있다.
(라)는 C, F, O를 모두 사용하고, 4개 이하의 원자를 사용하여 만들 수 있는 구조는 (라) F(C=O)F 형태 뿐이다.

이를 바탕으로 <보기>의 내용을 살펴보면,
ㄱ. 다중 결합을 포함하는 분자는 (가), (다), (라) 3 가지이다. (거짓)
ㄴ. (다)는 직선형(linear), (라)는 삼각평면형(trigonal planar) 구조이다. (거짓)
ㄷ. 분자당 구성 원자수는 (가)=4, (나)=4, (다)=3, (라)=4로 (가), (나), (라)가 같다. (참)
15번 문제

15번 답 ① ㄱ
처음 문제를 보고, 왜 꼭, 양자수를 카드로 제시했어야 했을까에 대한 의문을 가졌었다. 혹시, 출제 하신 선생님께서 실제 수업에 양자수 카드를 활용하셨던 것은 아닐까하는 생각을 잠깐이나마 했다. (설마, 교과서에 관련 활동이 나오나?)
네 가지 양자수를 이용하여 해당하는 오비탈의 전자를 찾고, 다전자 원자의 전자 배치를 할 수 있는지를 묻는 문제이다. 기본적으로 네 가지 양자수의 조건을 알고 있어야 한다. 한글 자음 원문자가 입력 되지 않아 (ㄱ) ~ (ㅇ) 형태로 바꾸어 표현하겠다.
카드 (ㄱ)에서 n = 1일 때, l = 0, ml = 0, ms = +1/2 또는 -1/2 의 두 가지 경우 외에는 허용되지 않는다. 따라서 a = 0 이다.
원자 (가)의 전자배치에 사용된 카드 중 n = 1인 카드(1s오비탈)는 (ㄱ), (ㅁ) 이며, n = 2 인 카드는 l = 0 하나와 l = 1인 카드 하나가 필요하다. (ㅂ) 카드가 l = 1(p오비탈)에 해당하는 카드이므로, (ㄹ)카드의 l = 0 (s오비탈) 이다. (ㄹ)과 (ㅅ)은 모두 2s 오비탈의 전자 카드이다. 자연스레 남아있는 (ㄴ), (ㄷ), (ㅇ) 카드가 2p 오비탈의 전자 카드이다. 해당 정보를 이용하여 원자 (나)와 (다)의 전자배치를 하면 다음과 같다.
원자 (나) = (ㄱ)(ㄴ)(ㄷ)(ㄹ)(ㅁ) 1s2 2s1 2p2
원자 (다) = (ㄱ)(ㄷ)(ㄹ)(ㅁ)(ㅅ)(ㅇ) 1s2 2s2 2p2
<보기>를 살펴보면,
ㄱ. a = 0 이다. (참)
ㄴ. (나)의 (ㄹ) 전자는 2s 오비탈, (ㄷ) 전자는 2p 오비탈이다. 다전자 원자이므로 오비탈의 에너지는 n + l에 의해 결정된다. 따라서 2s 오비탈(ㄹ)보다 2p 오비탈(ㄷ)의 에너지가 높다. (거짓)
ㄷ. 원자 (가)와 (나)는 2s 오비탈에 전자가 채워지기 전에 2p 오비탈에 전자가 채워졌으므로, 쌓음 원리를 위배하였다. (ㅂ)과 (ㅇ) 카드를 바탕으로 추론해보았을 때 (ㄷ) 카드의 ml = +1 임을 알 수 있다. 원자 (다)의 경우 2p 오비탈 카드인 (ㄷ)과 (ㅇ)이 모두 +1/2을 가지고 있어 스핀다중도가 최대가 되는 전자배치(훈트의 규칙)를 가지므로, 안정한 바닥상태의 전자 배치이다. 따라서 바닥상태 전자 배치는 (다) 1 가지이다. (거짓)
16번 문제

16번 답 ② 3/10
용액의 몰농도 문제이다. 2015개정 교육과정에서 농도 문제는 아직까지는 기본에 충실한 유형을 유지하고 있어 나름 만족스럽다. 화학스럽다.
0.06 M 용액을 제조하는 과정이다. 결국 만들어야 하는 용액은 0.06 M 이며, 부피는 500 mL이다.
* 과정 (가) ~ (나)는 1.5 M의 진한 A용액 100 mL를 만드는 과정이다. 1.5 M 이라는 뜻은 1 L 용액 속에 1.5 mol의 A가 포함되어 있다는 뜻이다. 용액의 부피가 100 mL로 1/10로 줄었으니, 용질 A도 1/10인 0.15 mol이 녹아있으면 된다.
* A의 화학식량이 40 g/mol 이므로, w = 0.15 [mol] * 40 [g/mol] = 6 [g] 이다.
* 과정 (다)에서 최종적으로 만들고자 하는 용액의 몰농도는 0.06 M이다. 용액 전체의 부피가 1 L 일 때 용질 A가 0.06 mol 녹아있으면, 그 용액은 0.06 M 이 된다. 문제에서는 전체 부피가 500 mL 이므로, 용질은 절반인 0.03 mol이 포함되어 있어야 한다.
* 즉, 초기에 1.5 M 용액에서 취한 V mL 에 용질 A가 0.03 mol (30 mmol)이 포함되어 있어야 한다는 의미다. 30 [mmol] = 1.5 [mmol/mL] * V mL, V = 20 mL 이다.
따라서 w / V = 6 / 20 = 3 / 10 이다.
17번 문제

17번 풀이 ① ㄱ
역시 화학스러운 문제이다. 산화-환원 반응식의 완성은 대학교 과정에서도 중요하게 다룬다. 풀이의 핵심은 증가한 산화수와 감소한 산화수가 같아야 한다는 것이다. 그리고, 완성된 산화-환원 반응식의 반응 전후 전하균형이 맞아야 한다.
* 반응전 6+의 Cr이 반응후 3+ Cr로 변했으며, 산화수가 3 감소했다. b = 1 이라 했을 때, e = 2 가 되어야 한다. 따라서 전체 관여한 전자 = 산화수(3)*Cr몰수(2) = 6 이다.
* 반대로 Cl은 산화수가 반응전 -1에서 반응후 0이 되었다. Cl 1개 당 +1의 산화수 변화를 갖는다. 전체 관여한 전자가 6 이므로, a = 6, d = 3 이 된다.
6 Cl- + Cr2O72- + c H+ → 3 Cl2 + 2 Cr3+ + f H2O
* 반응 후의 총 전하가 +6이므로, 반응 전의 총 전하 또한 +6이 되어야 한다.
- 6 + (-2) + c = +6 c = 14 이며, f = 7
<보기>를 살펴보면,
ㄱ. a + b + c = 6 + 1 + 14 = 21 이며, d + e + f = 3 + 2 + 7 = 12 이다. 따라서 a + b + c > d + e + f 이다. (참)
ㄴ. Cl-는 Cl2로 산화되었으므로, 환원제(스스로 산화되어 다른 화학종을 환원시키는 물질)이다. (거짓)
ㄷ. 전자 6 몰이 관여했을 때, 생성되는 물(H2O)은 7 몰이다. 따라서 1 몰의 물(H2O)을 생성하기 위해서는 6/7 몰의 전자가 필요하다. (거짓)
18번 문제

18번 답 ③ ㄱ, ㄷ
산-염기의 탈을 쓴 '~이라면', '~이라면' 문제다. 음이온 수의 비율로 부피에 대한 몰수를 찾고, 몇 번의 가정을 통해 미지수를 구해야 한다. 전하 균형을 고려할 수 있다면, 풀이 시간을 조금 단축시킬 수 있다. 학생들의 시간을 어떻게든 더 뺏기 위해 이양성자 산인 황산까지 동원했다. 개인적으로는 문제를 위한 문제를 냈다고 밖에 보이지 않는다. 학교 현장에서 화학을 가르치는 입장지만, 내 학생들이 이 문제를 시간 내에 완벽히 풀었다고 말해도 하나도 기쁘지 않을 것 같다. 역시 개인적인 생각이다. 이상 넋두리 끝.
말로 설명하면, 간단할 내용인데, 글로 쓰면 많이 길어질 듯 하다. 실제로는 문제에 주어진 표에 하나씩 몰수를 체크해가면서 풀어야 한다. 일단 풀이 시작.
1. 용액 (가), (나), (다)에 HCl, H2SO4, NaOH를 섞어 만들었으며, 용액에 존재하는 음이온 수 비율을 원형 도표로 제시하였다. key 가 되는 것은 (가) 용액이다. 음이온의 종류가 두 종류 밖에 없다. Cl-, SO42-, OH- 이온 중에 산-염기 반응에 참여하는 OH-가 남지 않았다. 구경꾼 이온인 Cl-과 SO42-만 있다. (가)용액은 산성 또는 중성이다.
2. 구경꾼 음이온인 Cl-과 SO42-의 비율이 1:4 또는 4:1이다.
(가)의 Cl-이 N, SO42-가 4N 이라고 가정(1:4)해보자. 이후 용액 (나)에서 HCl의 양은 5 mL로 1/2 배 감소, H2SO4의 양은 20 mL로 2 배 증가되었므로, Cl-은 0.5N, SO42-는 8N이 된다. (1:16) 그런데, (나)의 원형 도표 음이온 몰수 비가 2:2:3이다.
어떻게 해도 음이온의 비가 모순이므로, (가)의 Cl-과 SO4의 비율은 반대인 4:1임을 알 수 있다. 참고로, (가) 용액의 액성이 산성 또는 중성이기 위해서는 NaOH 10 mL에 해당하는 몰수가 6N 개보다 작거나 같아야 한다.

3. 따라서 (가)의 HCl 10 mL에는 4N 개의 Cl-, H2SO4 10 mL에는 N 개의 SO42-가 있으며, (나)의 HCl 5 mL에는 2N 개의 Cl-, H2SO4 20 mL에는 2N 개의 SO42-가 있다. (나)의 원형 도표 음이온 몰수 비가 2:2:3이라는 것을 통해 용액 내 남아있는 OH-의 몰수가 3N 개라는 것을 추가적으로 알 수 있다. 용액 내 존재하는 수소이온 6N 개와 모두 반응하고, OH- 이온 3N 개가 남아야 하므로, x mL의 NaOH에 포함된 OH-의 몰수는 9N 개 임을 알 수 있다.

4. 용액 (다)의 HCl 10 mL에는 (가)와 같이 4N 개의 Cl-이 포함되어 있으며, 음이온 몰수비가 1:2:2 이다. Cl은 1에 해당할까? 2에 해당할까?
만약, 4N 의 Cl-이 1:2:2의 1에 해당한다면, 2배인 SO42- 음이온은 8N, 남아있는 OH- 이온도 2배인 8N 개가 된다. 이 경우 (다) 용액에 존재하던 4N + 16N = 20N 개의 수소이온과 모두 반응하고 남은 OH- 이온이 8N 개이므로, 초기 NaOH 20 mL가 28N 개가 된다는 말이 된다.
그렇다면, (가)의 NaOH 10 mL 에는 절반인 14N 개의 OH- 이온이 초기에 존재했었다는 뜻이며, 이 경우 (가) 용액은 염기성이 된다. 따라서 (가) 용액의 남아있는 음이온이 두 종류라는 것에 모순이다.

5. 따라서 (다)의 Cl-은 1:2:2의 2에 해당한다. 나머지 SO4는 1일까? 2일까?
만약 2이라면, Cl-과 같은 4N 개가 존재하며, 남아있는 OH- 이온이 2N 개가 된다. 용액 내 존재하는 수소 이온의 수는 12N 이며, 초기 20 mL의 NaOH 의 몰수는 4N + 8N + 2N = 14N 이 된다. 따라서 (가)의 10 mL의 NaOH 몰수는 절반인 7N 개이 된다. 이 경우도 역시 OH- 이온 N 개가 남아 (가) 용액은 염기성이 된다.

6. 결국 SO4: Cl- : OH- = 1 : 2 : 2 이다. 이 말은, SO42- 이온이 2N 개로, (가) 용액의 두 배이며, (다)의 H2SO4 부피가 (가)의 두 배라는 것을 알 수 있다.(y = 20 mL) 또한, 남은 OH- 이온의 몰수가 4N 개가 되어야 하므로, 초기 20 mL NaOH 몰수는 4N + 4N + 4N = 12N 개가 된다. 따라서 절반인 (가)의 10 mL NaOH의 초기 몰수는 6N 개이며, 용액의 액성이 중성이었다는 것을 알 수 있다.

7. 모든 결과를 정리하면 다음과 같다. 용액 (나)의 NaOH 부피는 9N 개에 해당하는 부피가 되어야 하므로, 비례식 6N : 9N : 12N = 10 : x : 20 에 따라 x = 15 mL 가 된다.

<보기>의 내용을 살펴보면,
ㄱ. x : y = 15 : 20 = 3 : 4 이다. (참)
ㄴ. pH는 -log[H+]로, 용액 내 H+ 이온의 농도가 높을수록 낮다. 반대로 OH- 이온의 농도는 높을수록 높다. (나)와 (다)의 OH- 이온의 농도를 구하면, pH를 비교할 수 있다. (나) = 3N / 40mL 이며, (다) = 4N / 50 mL 이다. 용액 (다)의 농도가 더 높으므로, pH는 (다) 용액이 더 높다. (거짓)
ㄷ. (다)를 완전히 중화시키기 위해서는 4N 개의 수소 이온이 필요하다. 즉, HCl 10 mL가 필요하다. 또는 H2SO4 20 mL가 필요하다. (참)
20번 문제

20번 답 ② 1/2
마음에 안들어도 풀어야만 하는 20번 문제. 한계 반응물을 찾아 반응식을 완성시킨다는 것 이외에 이리저리 연립해서 미지수를 찾는게 (개인적으로) 화학적으로 어떤 중요한 의미를 갖는지는 잘 모르겠다.
m 몰의 반응물 A와 n 몰의 반응물 B를 반응시켜 C를 생성한다. 과정 (가)에서 반응이 완결되었다고 했으므로, A와 B 중 한 화학종은 완전히 소모되었다는 것을 알 수 있다. 완전히 소모되어 반응을 완결시킨 반응물을 한계 반응물(limiting reactant)이라고 한다.
온도와 압력이 일정한 상태에서 기체의 부피는 몰수를 나타낸다. 문제에서 제시한 반응 후 전체 기체의 부피는 전체 기체의 몰수와 같게 해석된다. 만약, A의 계수 a = 1이라면, 반응의 완결 여부와 무관하게 몰수 변화가 없다. 1몰의 A와 1몰의 B가 2몰의 C로 바뀔 뿐이다.
반응이 완결된 후, 과정 (나)에서 반응물 B를 첨가해주었다. B를 첨가하면서 전체 기체의 몰수를 비교한 표를 살펴보면, 한계 반응물이 무엇인지에 대해 알 수 있다.
만약, A가 완전히 소모(한계 반응물)되어 반응 용기에 없다면, B를 아무리 첨가해도 A가 없으니 반응이 진행될 수 없다. 그저 첨가한 B의 몰수 만큼 전체 기체 몰수가 증가할 뿐이다. 그런데, w [g]의 B를 첨가했을 때, 전체 기체의 몰수가 감소했다. 기체의 몰수가 감소했다는 것은 반응 전후 몰수 변화가 있으며, 반응계수 a는 1보다 큰 값이라는 것을 뜻한다. 또 한가지는 과정 (가) 이후 반응할 A가 남아있었다는 뜻이다. 종합했을 때, (가)에서 한계 반응물은 B이다.
그렇다면, 2w [g] 첨가했을 때는 어떨까? w 에서 2w 으로 가는 과정에서 여전히 전체 기체의 몰수는 줄고 있다. 즉, A와 B가 소모되고 있는 것이다. 그런데 2w 에서 3w 로 가는 과정에는 전체 기체 몰수가 증가한다. 2w 첨가된 시점에는 A가 없다(한계 반응물=A)는 것을 의미한다.
참고로, A가 완전히 소모된 시기는 그다지 중요하지 않다. 예를들어 1.8w 첨가되었을 때, A가 완전히 소모되었고, 2w 첨가시점에 B가 일정량 반응 못하고 쌓여있었다고 해도 상관없다. 이미 1.8w 첨가 이후 시점부터는 A가 한계 반응물이기 때문에 A를 첨가해주지 않는 한 계속 한계 반응물이다. 지금부터 늘어나는 기체 몰수는 모두 첨가한 B에 의한 것이다.
2w 첨가 시점부터 3w 첨가 시점까지, 즉, w [g]의 B를 첨가했을 때, 전체 몰수가 13k 에서 15k로 2k 만큼 증가했으므로 첨가한 B의 질량[g]과 몰수[mol] 사이의 관계를 알 수 있다. w [g] = 2k [mol] 이다.
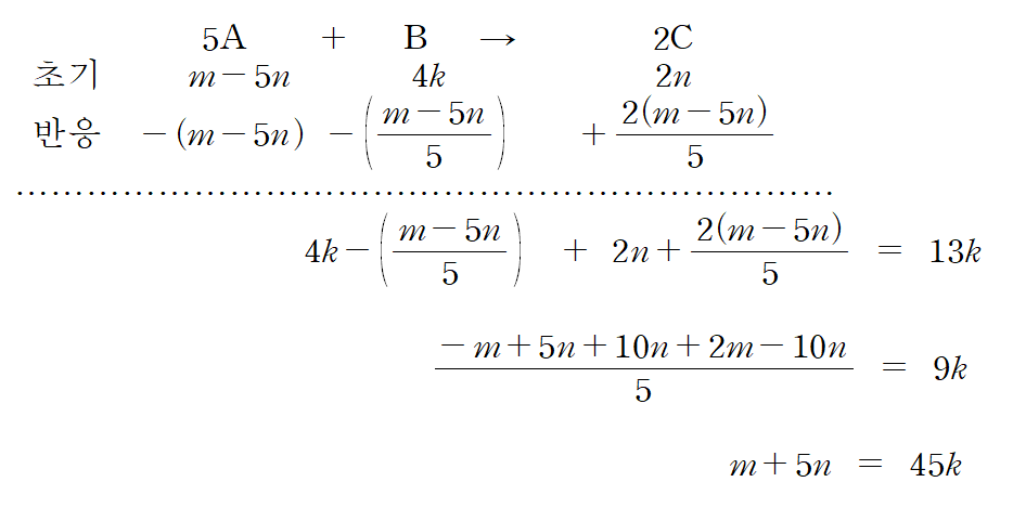
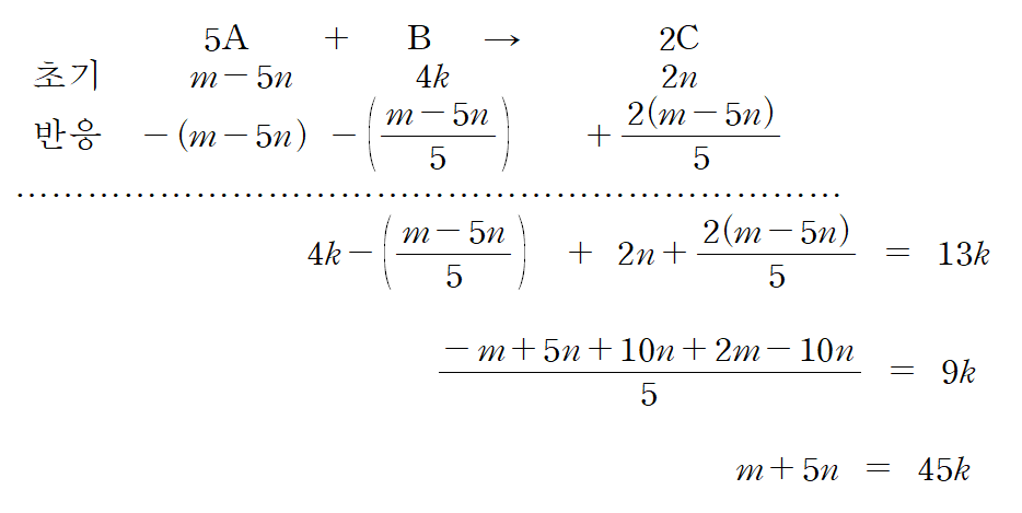
한계 반응물을 찾았으니, 이제는 연립할 식을 만들어보자. 반응 후 남아있는 기체의 전체 몰수에 대한 정보가 많기 때문에 이것이 재료가 될 것이다. 먼저 과정 (가)에서 반응이 완결된 시점 (1)부터 알아보자.

과정 (가) 이후 w [g]의 B가 첨가된 시점 (2), 즉 2k [mol]의 B가 첨가되었을 때를 알아보자. 여전히 B가 한계 반응물이다.

위의 (1)의 결과가 m - an + 2n = 21k 이므로, 대입하면, 2ak = 10k, 반응계수 a = 5 이다. (1)의 결과식은 m - 3n = 21k 로 정리된다.
계수를 결정하여 화학 반응식을 완성했으니, 이제 2w [g]의 B가 첨가된 시점 (3), 즉 4k [mol]의 B가 첨가되었을 때를 알아보자. 여기서 한계 반응물은 A이다.

(3)의 정리된 식은 m + 5n = 45k에서 (1)의 정리된 식 m - 3n = 21k 를 빼주면, 8n = 24k, n = 3k을 얻을 수 있으며, 자연스럽게 m = 30k 가 된다.
문제에서 물었던 an / m = (5*3k) / 30k 이므로, 1/2 가 된다.
* 본문 설명 중 잘못된 부분에 대해 지적해주시면 참고하여 수정, 업데이트 하도록 하겠습니다. 문제의 출처는 인천광역시교육청과 EBSi 사이트입니다.
'화학 > 기출풀이' 카테고리의 다른 글
| 2021 MEET/DEET 자연과학2(일반화학) 기출문제 풀이 (1번-5번) (2) | 2020.08.17 |
|---|---|
| 2019학년도 PEET 화학추론(일반화학) 기출문제 9번 풀이 + 유사 기출 (0) | 2020.07.29 |
| 2021학년도 수능 6월 모의평가(2020.6.18.) 화학1 3점 문항 풀이 (0) | 2020.06.19 |
| 2020학년도 4월(5.21.) 고3 학력평가 화학2 3점 문항 풀이 (2) (0) | 2020.05.25 |
| 2020학년도 4월(5.21.) 고3 학력평가 화학2 3점 문항 풀이 (1) (0) | 2020.05.24 |