기체 분자 운동론 | Kinetic Molecular Theory

1. 기체 분자 운동론
보일 법칙(PV = k ), 샤를 법칙(V = k'T ), 아보가드로 법칙(V = k''n ) 등으로부터 나온 이상기체 법칙(PV = nRT )은 사람들의 관찰 결과에서의 규칙성으로부터 만들어진 법칙이다. 기체의 거시적인 성질에 관한 법칙이다.
이러한 기체 법칙들은 기체 분자 하나하나가 어떻게 행동하고 있는지에 대한 미시적인 정보는 주지 못한다.
이에, 18 세기 베르누이(Bernoulli, D. 1700-1782)는 기체 분자 운동론(Kinetic Molecular Theory)을 제안하였고, 19세기 클라우지우스(Clausius, R. 1822-1888), 맥스웰(Maxwell, J. C., 1831-1879), 볼츠만 (Boltzmann L. E. 1844-1906) 등에 의해 발전되었다.
기체 분자 운동론은 기체 분자 하나의 운동을 설정한 뒤, 이를 여러 개의 분자로 확장하여 전체 기체 덩어리의 성질을 설명하는 이론이다. 궁극적으로는 실험을 통해 얻어낸 기체 법칙(PV = nRT )의 결과를 설명할 수 있다.
또한, 기체의 분출이나 확산, 반응 속도 등에 대한 설명에도 도움을 준다.
2. 기체 분자 운동론의 기본 가정
1) 기체 분자들은 자체(분자 알맹이) 부피보다 훨씬 큰 거리를 두고, 멀리 떨어져 있다. 이에 기체 입자 자체 부피는 무시될 수 있다. (기체 자체 부피 = 0)
2) 기체 분자들은 끊임없이 무질서하게 움직인다. 무질서한 운동을 한다는 것은 기체 운동 방향 x, y, z 축 중에 특별히 선호하는 방향이 없다는 뜻이며, 입자의 운동에 x, y, z 축 방향이 기여하는 정도가 모두 같다는 것을 뜻한다.
3) 기체 분자들은 충돌할 때를 제외하고는 기체 분자들 사이에 아무런 힘이 작용하지 않으며, 일정 속도의 직선 운동을 한다. 기체 분자들 간 충돌 이외의 상호작용이 없다는 것은 입자 간 상호작용에 의한 퍼텐셜 에너지를 0으로 볼 수 있다는 것이며, 분자의 전체 에너지를 분자의 운동만으로 설명할 수 있다는 뜻이다.
4) 기체 분자 또는 벽면과의 충돌은 완전 탄성 충돌이며, 충돌에 의해 에너지 손실이 발생하지 않는다.
3. 기체 분자 운동 모형
벽면의 단면적이 A 이고, 길이가 l 인 상자 속에 질량이 m 인 기체 입자 1 개가 들어있다. 기체 분자 운동론의 기본 가정에 따라 기체 입자는 무질서한 직선 운동을 하고 있다.
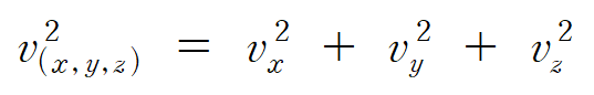
기체 입자는 x, y, z 축 방향으로 자유로운 이동이 가능하다. 이를 피타고라스 정리를 통해 식으로 표현하면, 다음과 같다.

하지만, 계산상의 편의를 위해 일단은 입자가 x 축 방향으로만 운동한다고 생각하면, y 축과 z 축 속도는 0이 되어 x 축 방향으로의 속도(vx)만으로 입자 전체의 속도를 표현할 수 있다. (나중에 y 축과 z 축 요소를 고려하기로 한다.)

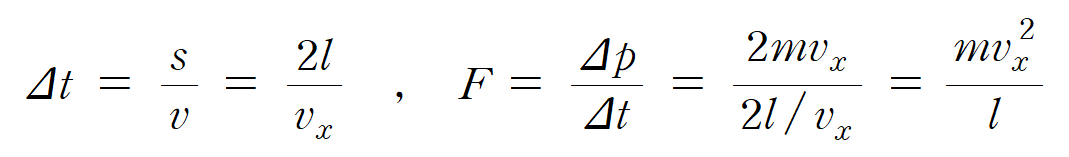
x 축 방향으로 운동하는 입자는 일정 시간 이후 벽면 A 에 충돌하게 되며, 앞선 기본 가정에 의해 이 충돌은 완전 탄성 충돌이다. 충돌 전후 입자의 운동량(px )은 다음과 같이 변한다.

면적이 A 인 상자의 한쪽 벽면과 충돌을 일으킨 뒤, 같은 면에 재차 충돌할 때까지 걸리는 시간(Δt )을 이용하여 매 초당 벽면에 가해지는 충격력(F )를 구할 수 있다. 이렇게 얻은 충격력을 바탕으로 기체 입자 하나가 벽면에 가하는 압력(P )를 구할 수 있다.

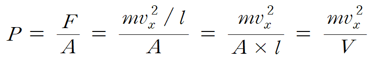
기체 입자 1 개가 벽면에 가하는 압력(P )의 크기는 충격력(F )을 면적(A )으로 나누어 구할 수 있으며, 다음과 같다.

이제 상자 속 기체 입자의 수를 늘려보자. 상자 속에 x 축 방향으로만 운동하는 기체 입자가 총 N 개가 있다. 기체 입자 각각은 다양한 속력 분포를 가질 수 있다. 1 번 입자의 속력은 vx,1 , 2 번 입자의 속력은 vx,2 로 나타낼 수 있다. N 번째 입자의 속력은 vx, N 으로 나타낼 수 있다.

x 축 방향으로만 운동하는 N 개의 입자가 벽면에 가하는 압력(P )의 크기는 다음과 같다.

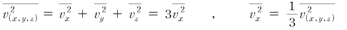
이제 축을 확장하여, 입자의 y 축과 z 축 방향의 운동을 고려하자. y 축과 z 축 방향의 운동이 x 축과 특별히 다른 점은 없다. 세 축 중에 특별히 선호하는 방향이 없으며, 모든 축의 기여도는 동일하다. 이에 세 가지 운동 방향을 모두 고려한 입자 속도 제곱(vx,y,z2)의 평균값은 다음과 같다.

위의 속도 관계를 이용하면 N 개의 기체 입자가 x , y , z 축으로 무질서한 운동을 할 때, 상자 벽면에 가하는 전체 압력(Ptotal(x,y,z))을 구할 수 있다.

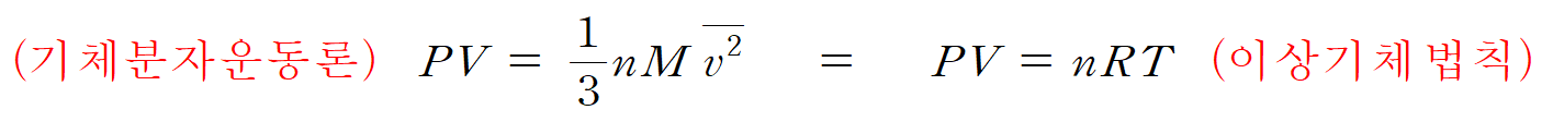
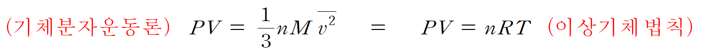
위의 결과는 N 개의 기체 입자가 나타내는 압력(P )과 부피(V ) 사이의 관계를 기체 분자 운동론(모형)으로부터 이끌어낸 결과다. 기체 입자의 질량 (m ), 입자의 개수(N ), 아보가드로 수(NA ), 기체 1몰의 질량 (M ) 사이의 관계를 이용하면, 다음과 같이 정리된다.


위의 결과는 실험을 통해 관찰된 기체 법칙(이상기체 상태방정식) 또한 만족해야 한다.

위의 등식 관계를 바탕으로, 기체 속력 제곱의 평균값(평균 제곱 속력, mean square speed )이 절대 온도(T )에 비례하고, 1몰 질량(M )에 반비례한다는 사실을 알 수 있다.

근평균 제곱속력(root-mean square speed )은 평균 제곱 속력에 제곱근을 취한 것이다.

4. 기체 1몰의 평균 운동 에너지
기체 분자 운동론의 기본 가정으로부터 기체 입자 간 상호작용을 하지 않으므로, 기체의 퍼텐셜 에너지(Ep )는 0이다. 따라서 기체 분자의 전체 에너지(Etotal)는 운동 에너지(E k )만으로 표현 가능하다.
다양한 속력 분포를 갖는 1 몰 기체 분자의 평균 운동 에너지는 다음과 같다.

위의 평균 제곱 속력(v 2 = 3RT/M )에 대한 관계식을 이용하면, 기체 분자의 평균 운동 에너지(Ek)가 절대 온도(T )에만 비례한다는 사실을 알 수 있다.

5. 기체상수 R 과 볼츠만 상수 kB
위의 기체 분자 1 몰의 평균 운동 에너지(Ek )로부터 기체 분자 1 개의 평균 운동 에너지(εk )를 구할 수 있다.

기체 분자 1 개의 운동 에너지(εk)와 절대 온도(T ) 사이의 관계식에서의 비례상수를 볼츠만 상수(Boltzmann's constant, kB)라 한다.
6. 기체 분자 운동론을 통한 기체 법칙의 설명
1) 보일 법칙
온도가 일정하면, 기체의 운동에너지는 변화가 없다. 기체 분자는 일정 속력으로 운동한다. 이때, 부피가 절반으로 감소하면, 단위 부피당 입자수가 2 배로 증가한다. 자연히 단위 면적당 작용하는 힘의 크기는 2 배가 되어 압력이 증가한다.
2) 샤를 법칙
온도가 증가하면, 기체의 운동 속도가 증가한다. 입자의 단위 시간당 벽면 충돌 횟수가 증가한다. 이에 벽면에 가해지는 힘의 크기가 증가하고, 내부 압력이 증가한다. 내부 압력이 외부 압력 크기와 같아질 때까지 부피 팽창이 일어난다.
[참고] 수업노트
* 2021-03-21 : 구에디터 작성글로 가독성이 좋지 않아, 일부 수정하였습니다.
'화학 > 화학이야기' 카테고리의 다른 글
| 반 데르 발스 기체식 (van der Waals' Gas Equation) (50) | 2017.10.11 |
|---|---|
| 이상기체와 실제기체 (ideal gas & real gas) (25) | 2017.10.06 |
| 기체 상태 (The Gaseous State) (0) | 2017.09.25 |
| 분자 사이의 힘 (Intermolecular Interaction) (0) | 2017.09.25 |
| 최조밀 쌓음 구조 (closest packing structure) (2) | 2017.09.22 |