수소 선 스펙트럼 (Spectrum of Hydrogen)
1. 스펙트럼
스펙트럼(spectrum)이란, 빛을 파장에 따라 분해하여 나열한 것을 말한다. 빛을 분해하기 위해서는 분광기1가 필요하다. 프리즘(prism)은 가장 간단한 분광기다.

프리즘을 이용해 태양광(백색광)을 분해하면, 연속된 스펙트럼이 나타나는데, 그 이유는 태양이 방출하는 빛이 전체 파장 영역을 포함하고 있기 때문이다.
-
2. 선 스펙트럼의 관찰
1752년 스코틀랜드의 호기심 많은 자연철학자 토머스 멜빌(Thomas Melvill, 1726-1753)은 다양한 염(salt)을 태워보다가 물질마다 고유한 불꽃색을 갖는다는 사실을 알게 되었다. 그리고 불꽃이 내뿜는 빛을 프리즘에 통과시키자 일반적인 빨주노초파남보의 연속적인 스펙트럼이 아닌, 밝은 선만 보였다. 소금을 태웠을 때는 검은색 배경에 주황색 선(그림 2)이 보였다.

1814년 독일의 조셉 폰 프라운호퍼(Joseph von Fraunhofer, 1787-1826)는 군용 관찰 렌즈의 도수를 조정하다가 프리즘으로 태양을 관찰하게 되었다. 그리고 연속적인 스펙트럼 중간중간에 무수히 많은 어두운 선들이 나타남(그림 3)을 관찰했다. 앞서 멜빌이 보았던 스펙트럼의 형태와는 반대의 모습이었다.

1850년대에 이르러 로베르트 분젠(Robert Wilhelm Bunsen, 1811-1899)과 구스타프 키르히호프(Gustav Robert Kirchhoff, 1824-1887)에 의해 분광법이 체계화되었다. 분젠 버너와 프리즘, 상자와 망원경 등으로 구성된 분광기(그림 4) 덕분에 기체가 연소하는 과정에서 발생하는 빛의 스펙트럼을 손쉽게 관찰할 수 있었다.

키르히호프는 원소마다 선 스펙트럼 위치와 모양이 모두 다르다는 것을 알아냈다. 어떤 원소도 같은 형태의 선 스펙트럼을 갖지 않았다. 분젠과 키르히호프 분광법은 물질에 포함된 성분 원소의 존재를 확인하고, 발견되지 않은 새로운 원소를 찾는데 적극적으로 사용되었다.

그러나 그들은 원소들의 스펙트럼이 선의 형태로 나타나는 이유가 무엇인지, 그 선들이 의미하는 바가 무엇인지는 도무지 알 수 없었다. 이를 설명해내는 것이 당시 물리학자들의 가장 큰 과제 중 하나였지만, 거의 반 세기동안 해결되지 않았다.
-
3. 수소 스펙트럼
높은 온도의 수소에서도 역시 선 스펙트럼이 관찰되었다. 가시광선 영역(400 ~ 700 nm)에서는 총 4 개의 선이 나타났는데, 선의 위치는 짧은 파장부터 410.12 nm,(Hδ, violet), 434.01 nm(Hγ, blue), 486.074 nm(Hβ, blue green), 656.21 nm(Hα, red)이다.

4 개의 파장은 아무 규칙성이 없어 보였다. 하지만, 이 숫자들 사이의 관계가 원자의 비밀을 푸는 열쇠가 될 것이라 믿었던 인물이 있었다. 바로, 스위스의 수학자이자 교사였던 요한 발머(Johann Jakob Balmer, 1825-1898)다.

1885년, 발머는 수소 선 스펙트럼 파장 값들 사이의 수학적 규칙성을 찾는데 몰두했다. 그리고 마침내 수학적 직관을 통해 네 파장 모두 364.56 으로 나누면, 간단한 분수꼴로 나타낼 수 있다는 것을 알았다. (에이, 말도 안 돼 1111) 그리고 그 분수들 또한, 간단한 제곱수 조합으로 나타낼 수 있음을 알았다. (에이, 말도 안 돼 2222)

발머는 364.56이라는 값이 도대체 어떤 물리적 의미가 있는지, 제곱수 조합이 무얼 의미하는지 알 수 없었지만, 어쨌든 수소 스펙트럼 파장 값이 어떤 정리된 식의 형태로 일반화될 수 있다는 것을 보여주었다. 그리고 n = 7일 때의 스펙트럼 파장 값을 예측하기도 했는데, 역시나 396.97 nm로 정확했다.

-
4. 뤼드베리 식 (Rydberg formula)

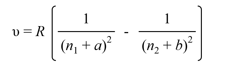
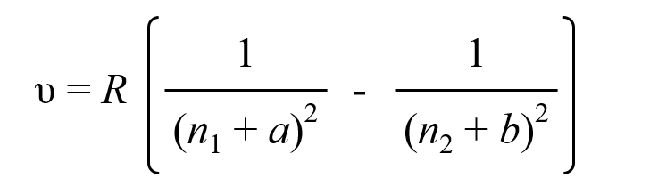
3년 뒤, 스웨덴의 물리학자 요하네스 뤼드베리(Johannes Robert Rydberg, 1854-1919)는 보다 더 완성된 형태의 식을 제안했다. 발머 식과 두 가지 정도 차이가 있는데, 하나는 파장이 아닌 진동수 형태로 정리했다는 것과 수소 외의 원소에도 적용될 수 있는 보다 일반화된 식이었다는 것이다.

R은 뤼드베리 상수(Rydberg constant)이며, a 와 b 는 원소의 종류에 따라 달라지는 값이다. 수소 원자의 뤼드베리 상수는 RH로 표기하며, 1.097 × 107 m-1이다. 수소 원자의 경우 a 와 b 는 모두 0 이다. 수소 원자에 대한 뤼드베리 식은 다음과 같다. (n1 < n2)

그리고, 앞선 발머의 식은 뤼드베리 식 n1 = 2인 경우에 해당한다.
이후 자외선 영역의 라이먼(Lyman, n1=1) 계열을 비롯해 적외선 영역의 파셴(Paschen, n1=3), 브라켓(Brackett, n1=4), 푼트(Pfund, n1=5), 험프리(Humphreys, n1=6) 계열 등이 발견되었다.

발머와 뤼드베리는 측정된 스펙트럼의 파장 값을 바탕으로 일반화된 식을 찾아냈지만, 당시 여러 물리학자들과 마찬가지로 '왜 이런 식을 만족해야 하는지?', 'n1, n2 의 값들이 무슨 의미를 갖는지?' 에 대해 설명할 수 없었다.
-
5. 결국...
원소의 스펙트럼에 왜 이렇게 다양한 선이 나타나는지, 그리고 왜 발생하는지를 설명하기 위해서는 결국, 빛 에너지의 불연속성이 뒷받침 되어야 한다. 위의 뤼드베리 식 좌변(1/λ)을 플랑크 상수(h)와 빛의 속도(c)를 이용하여 에너지(E ) 항으로 정리하면, 스펙트럼에 나타나는 선이 나타내는 에너지 값은 어떤 두 에너지 준위 n1, n2 의 차이와 같다는 것을 알 수 있다. (hcRH = 13.6 eV, 1 eV = 1.602 × 10-19 J)

이는 닐스 보어가 자신의 원자 모형을 설명하는데 바탕이 되었다.
[참고한 책]
* 곽영직, 양자역학으로 이해하는 원자의 세계, 지브레인
* 김영훈, 빛과 전자의 초대 Quantum, 김영훈, 진샘미디어
- 수소 선 스펙트럼 (끝) -
* 긴 글 읽어주셔서 감사합니다. 내용 중 오타나 문맥상 오류 등이 있는 경우 댓글로 알려주시면, 최대한 빠른 시일 내에 수정/답변드리도록 하겠습니다.
[관련글] 보어의 원자 모형(150) https://stachemi.tistory.com/150
원자 모형의 변천 (3) 보어의 원자 모형
* 본문은 다음 글들과 연결됩니다. - 원자 모형의 변천 1. 원자 내부가 왜 궁금해진 걸까? : https://stachemi.tistory.com/132 원자 모형의 변천 (1) 원자 내부가 왜 궁금해진 걸까? 원자 모형의 변천 (1) 원자
stachemi.tistory.com
[참고] Rydberg formula (Wikipedia)
Rydberg formula - Wikipedia
From Wikipedia, the free encyclopedia Jump to navigation Jump to search Formula for spectral line wavelengths in alkali metals Rydberg's formula as it appears in a November 1888 record In atomic physics, the Rydberg formula calculates the wavelengths of a
en.wikipedia.org
- 나눌 분[分], 빛 광[光] [본문으로]
'화학 > 화학이야기' 카테고리의 다른 글
| [스크랩] 카페인의 흡수스펙트럼 (UV Spectrum of Caffeine) (0) | 2020.12.21 |
|---|---|
| 원자 모형의 변천 (3) 보어의 원자 모형 (4) | 2020.12.18 |
| LCAO 분자 오비탈 (LCAO Molecular Orbital) (0) | 2020.12.05 |
| [스크랩] 용해도 규칙 (Solubility Rule) (0) | 2020.12.01 |
| 분자 궤도함수 이론 (Molecular Orbital Theory, MOT) (2) | 2020.11.27 |